input word = C00056962

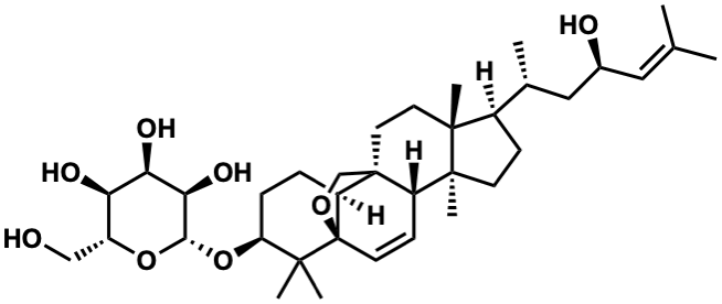
Metabolite InformationStructural formula
Name Momordicoside V
Formula C36H58O8
Mw 618.41316883
CAS RN 1228785-49-6
C_ID C00056962
InChIKey BYTNSUUKOIFJOJ-FCYYLTPNSA-N
InChICode InChI=1S/C36H58O8/c1-20(2)16-22(38)17-21(3)23-10-12-34(7)25-11-13-36-26(35(25,19-42-36)15-14-33(23,34)6)8-9-27(32(36,4)5)44-31-30(41)29(40)28(39)24(18-37)43-31/h11,13,16,21-31,37-41H,8-10,12,14-15,17-19H2,1-7H3/t21-,22+,23-,24-,25+,26+,27+,28-,29-,30-,31+,33-,34+,35+,36-/m1/s1
SMILES CC(C)=C[C@H](O)C[C@@H](C)[C@H]1CC[C@@]2(C)[C@@H]3C=C[C@@]45OC[C@]3(CC[C@]12C)[C@@H]4CC[C@H](O[C@@H]1O[C@H](CO)[C@@H](O)[C@@H](O)[C@H]1O)C5(C)C
Start Substs in Alk. Biosynthesis (Prediction)
Organism
Kingdom Family Species Reference
PlantaeCucurbitaceaeMomordica charantia Ref.
zoom in