input word = C00056961

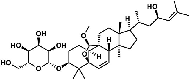
Metabolite InformationStructural formula
Name Momordicoside U
Formula C37H60O9
Mw 648.42373351
CAS RN 1228785-48-5
C_ID C00056961
InChIKey NNSVJRSMGWGPSI-KCLFJBJZSA-N
InChICode InChI=1S/C37H60O9/c1-20(2)17-22(39)18-21(3)23-11-13-35(7)25-12-14-37-26(36(25,32(43-8)46-37)16-15-34(23,35)6)9-10-27(33(37,4)5)45-31-30(42)29(41)28(40)24(19-38)44-31/h12,14,17,21-32,38-42H,9-11,13,15-16,18-19H2,1-8H3/t21-,22+,23-,24-,25+,26+,27+,28-,29-,30-,31+,32-,34-,35+,36+,37-/m1/s1
SMILES CO[C@@H]1O[C@]23C=C[C@@H]4[C@@]1(CC[C@]1(C)[C@@H]([C@H](C)C[C@@H](O)C=C(C)C)CC[C@@]41C)[C@@H]2CC[C@H](O[C@@H]1O[C@H](CO)[C@@H](O)[C@@H](O)[C@H]1O)C3(C)C
Start Substs in Alk. Biosynthesis (Prediction)
Organism
Kingdom Family Species Reference
PlantaeCucurbitaceaeMomordica charantia Ref.
zoom in