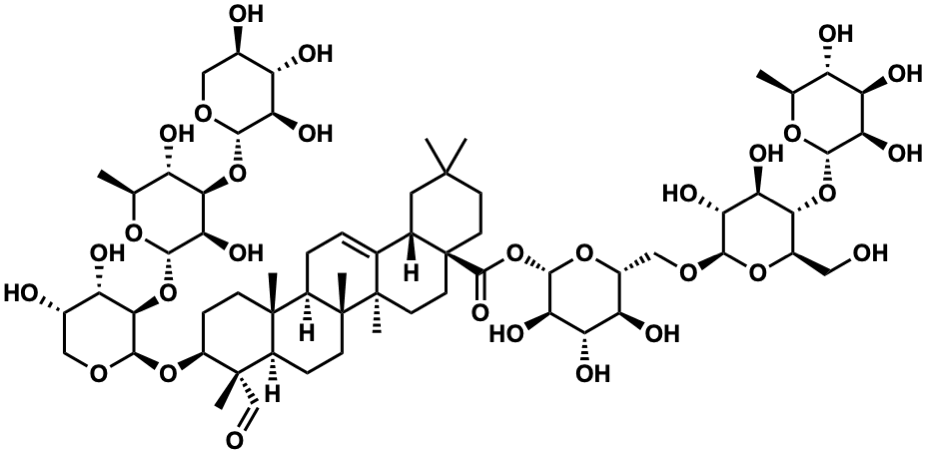
input word = C00056926

Metabolite InformationStructural formula
Name Sativoside B
Formula C64H102O30
Mw 1350.64559192
CAS RN 1202750-05-7
C_ID C00056926
InChIKey PPARYDXBUAFEMO-IIENMHEMSA-N
InChICode InChI=1S/C64H102O30/c1-25-36(69)41(74)45(78)54(86-25)91-49-31(20-65)88-52(47(80)43(49)76)85-23-32-40(73)42(75)46(79)55(89-32)94-58(82)64-17-15-59(3,4)19-28(64)27-9-10-34-60(5)13-12-35(61(6,24-66)33(60)11-14-63(34,8)62(27,7)16-18-64)90-57-51(39(72)30(68)22-84-57)93-56-48(81)50(37(70)26(2)87-56)92-53-44(77)38(71)29(67)21-83-53/h9,24-26,28-57,65,67-81H,10-23H2,1-8H3/t25-,26-,28-,29+,30-,31+,32+,33+,34+,35-,36-,37-,38-,39-,40+,41+,42-,43+,44+,45+,46+,47+,48+,49+,50+,51+,52+,53-,54-,55-,56-,57+,60-,61-,62+,63+,64-/m0/s1
SMILES C[C@@H]1O[C@@H](O[C@H]2[C@H](O)[C@@H](O)[C@H](OC[C@H]3O[C@@H](OC(=O)[C@]45CCC(C)(C)C[C@H]4C4=CC[C@@H]6[C@@]7(C)CC[C@H](O[C@H]8OC[C@H](O)[C@H](O)[C@H]8O[C@@H]8O[C@@H](C)[C@H](O)[C@@H](O[C@@H]9OC[C@@H](O)[C@H](O)[C@H]9O)[C@H]8O)[C@@](C)(C=O)[C@@H]7CC[C@@]6(C)[C@]4(C)CC5)[C@H](O)[C@@H](O)[C@@H]3O)O[C@@H]2CO)[C@H](O)[C@H](O)[C@H]1O
Start Substs in Alk. Biosynthesis (Prediction)
Organism
Kingdom Family Species Reference
PlantaeRanunculaceaeNigella sativa Ref.
zoom in