input word = C00056916

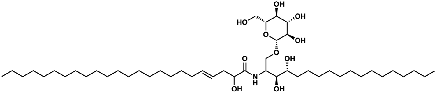
Metabolite InformationStructural formula
Name Portulacerebroside A
Formula C48H93NO10
Mw 843.6799482
CAS RN 1192057-20-7
C_ID C00056916
InChIKey WTZINHVTDPIIMV-HJXAUNDJSA-N
InChICode InChI=1S/C48H93NO10/c1-3-5-7-9-11-13-15-17-18-19-20-21-22-23-24-26-28-30-32-34-36-41(52)47(57)49-39(38-58-48-46(56)45(55)44(54)42(37-50)59-48)43(53)40(51)35-33-31-29-27-25-16-14-12-10-8-6-4-2/h32,34,39-46,48,50-56H,3-31,33,35-38H2,1-2H3,(H,49,57)/b34-32+/t39?,40-,41?,42-,43+,44-,45+,46-,48-/m1/s1
SMILES CCCCCCCCCCCCCCCCCCC/C=C/CC(O)C(=O)NC(CO[C@@H]1O[C@H](CO)[C@@H](O)[C@H](O)[C@H]1O)[C@H](O)[C@H](O)CCCCCCCCCCCCCC
Start Substs in Alk. Biosynthesis (Prediction)
Organism
Kingdom Family Species Reference
PlantaePortulacaceae/MontiaceaePortulaca oleracea Ref.
zoom in