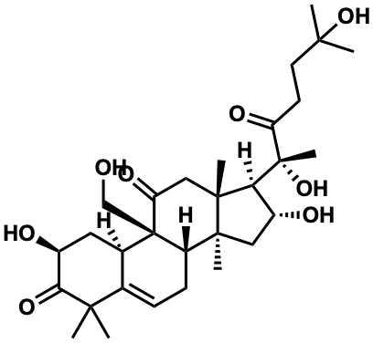
| Name |
2,16,19,20,25-Pentahydroxycucurbit-5-ene-3,11,22-trione |
| Formula |
C30H46O8 |
| Mw |
534.31926845 |
| CAS RN |
1135141-78-4 |
| C_ID |
C00056864
|
| InChIKey |
AGWNREQWNPJWPL-VOKXYEOFSA-N |
| InChICode |
InChI=1S/C30H46O8/c1-25(2,37)11-10-21(34)29(7,38)23-19(33)13-27(5)20-9-8-16-17(12-18(32)24(36)26(16,3)4)30(20,15-31)22(35)14-28(23,27)6/h8,17-20,23,31-33,37-38H,9-15H2,1-7H3/t17-,18+,19-,20+,23+,27+,28-,29+,30+/m1/s1 |
| SMILES |
CC(C)(O)CCC(=O)[C@](C)(O)[C@H]1[C@H](O)C[C@@]2(C)[C@@H]3CC=C4[C@@H](C[C@H](O)C(=O)C4(C)C)[C@]3(CO)C(=O)C[C@]12C |
| Start Substs in Alk. Biosynthesis (Prediction) |
|
| Organism |
| Kingdom |
Family |
Species |
Reference |
| Plantae | Cucurbitaceae | Cucumis melo  | Ref. |
|
|
zoom in
|