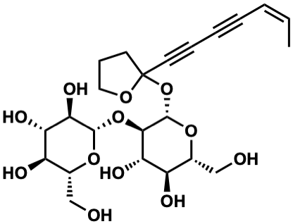
| Name |
Panaxfurayne B |
| Formula |
C23H32O12 |
| Mw |
500.18937649 |
| CAS RN |
1115052-78-2 |
| C_ID |
C00056856
|
| InChIKey |
GKMJBKTWUROSQB-KCFJNQISSA-N |
| InChICode |
InChI=1S/C23H32O12/c1-2-3-4-5-6-8-23(9-7-10-31-23)35-22-20(18(29)16(27)14(12-25)33-22)34-21-19(30)17(28)15(26)13(11-24)32-21/h2-3,13-22,24-30H,7,9-12H2,1H3/b3-2-/t13-,14-,15-,16-,17+,18+,19-,20-,21+,22+,23?/m1/s1 |
| SMILES |
C/C=CC#CC#CC1(O[C@@H]2O[C@H](CO)[C@@H](O)[C@H](O)[C@H]2O[C@@H]2O[C@H](CO)[C@@H](O)[C@H](O)[C@H]2O)CCCO1 |
| Start Substs in Alk. Biosynthesis (Prediction) |
|
| Organism |
| Kingdom |
Family |
Species |
Reference |
| Plantae | Araliaceae | Panax ginseng  | Ref. |
|
|
zoom in
|