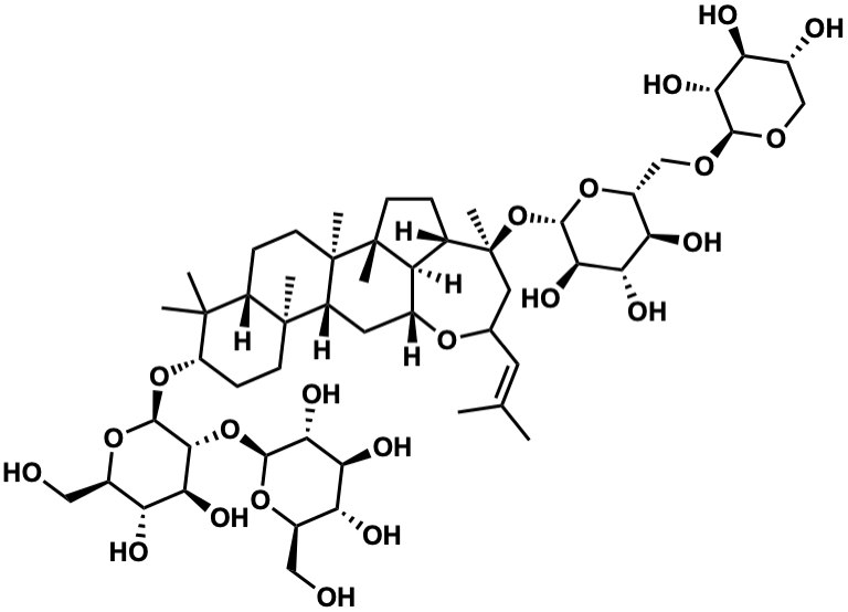
input word = C00056831

Metabolite InformationStructural formula
Name Quinquefoloside Lb
Formula C53H88O22
Mw 1076.5767245
CAS RN 1055312-54-3
C_ID C00056831
InChIKey KJJBOCATJWJJRQ-YVKWBRFBSA-N
InChICode InChI=1S/C53H88O22/c1-22(2)15-23-17-53(8,75-47-43(66)39(62)37(60)29(72-47)21-68-45-41(64)34(57)25(56)20-67-45)24-9-13-52(7)33(24)26(69-23)16-31-50(5)12-11-32(49(3,4)30(50)10-14-51(31,52)6)73-48-44(40(63)36(59)28(19-55)71-48)74-46-42(65)38(61)35(58)27(18-54)70-46/h15,23-48,54-66H,9-14,16-21H2,1-8H3/t23?,24-,25+,26+,27+,28+,29+,30-,31+,32-,33-,34-,35+,36+,37+,38-,39-,40-,41+,42+,43+,44+,45-,46-,47-,48-,50-,51+,52+,53-/m0/s1
SMILES CC(C)=CC1C[C@](C)(O[C@@H]2O[C@H](CO[C@@H]3OC[C@@H](O)[C@H](O)[C@H]3O)[C@@H](O)[C@H](O)[C@H]2O)[C@H]2CC[C@]3(C)[C@@H]2[C@@H](C[C@@H]2[C@@]4(C)CC[C@H](O[C@@H]5O[C@H](CO)[C@@H](O)[C@H](O)[C@H]5O[C@@H]5O[C@H](CO)[C@@H](O)[C@H](O)[C@H]5O)C(C)(C)[C@@H]4CC[C@]23C)O1
Start Substs in Alk. Biosynthesis (Prediction)
Organism
Kingdom Family Species Reference
PlantaeAraliaceaePanax quinquefolium Ref.
zoom in