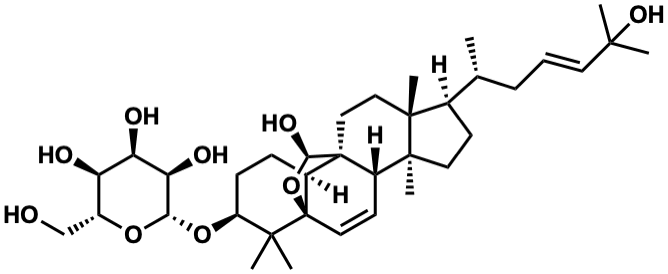
input word = C00056802

Metabolite InformationStructural formula
Name Momordicoside P
Formula C36H58O9
Mw 634.40808345
CAS RN 1011726-62-7
C_ID C00056802
InChIKey MWDOAJPNPCZJEI-STTRYPJLSA-N
InChICode InChI=1S/C36H58O9/c1-20(9-8-14-31(2,3)42)21-12-15-34(7)23-13-16-36-24(35(23,30(41)45-36)18-17-33(21,34)6)10-11-25(32(36,4)5)44-29-28(40)27(39)26(38)22(19-37)43-29/h8,13-14,16,20-30,37-42H,9-12,15,17-19H2,1-7H3/b14-8+/t20-,21-,22-,23+,24+,25+,26-,27-,28-,29+,30-,33-,34+,35+,36-/m1/s1
SMILES C[C@H](C/C=C/C(C)(C)O)[C@H]1CC[C@@]2(C)[C@@H]3C=C[C@@]45O[C@@H](O)[C@]3(CC[C@]12C)[C@@H]4CC[C@H](O[C@@H]1O[C@H](CO)[C@@H](O)[C@@H](O)[C@H]1O)C5(C)C
Start Substs in Alk. Biosynthesis (Prediction)
Organism
Kingdom Family Species Reference
PlantaeCucurbitaceaeMomordica charantia Ref.
zoom in