input word = C00056742

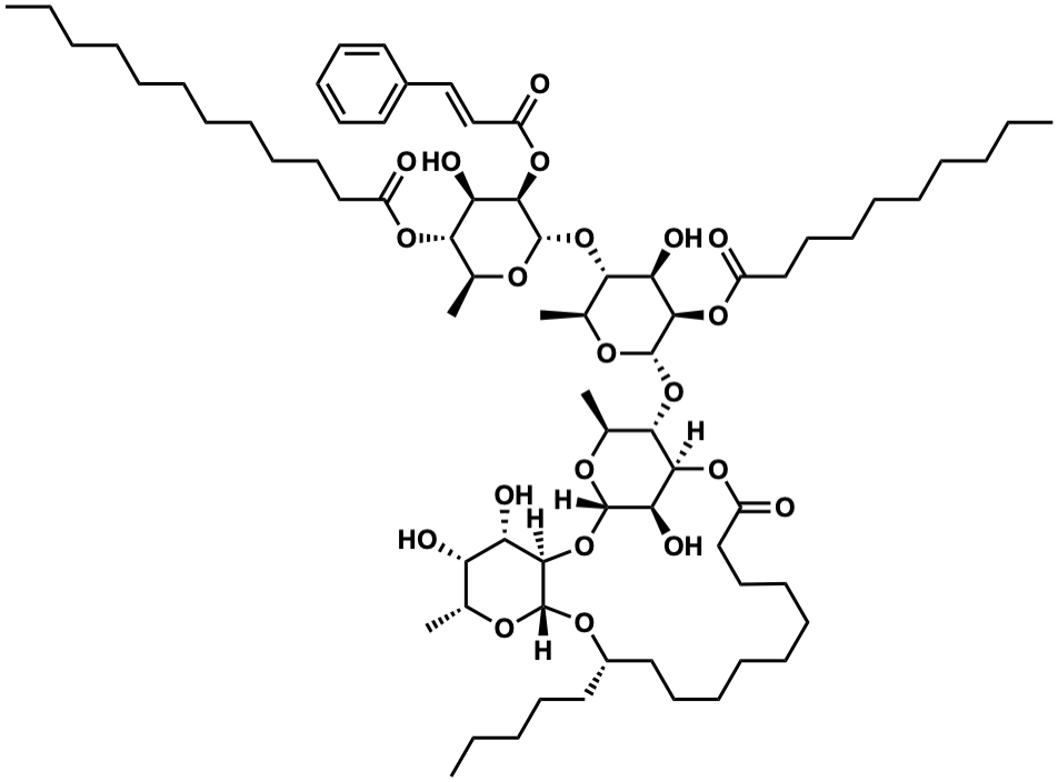
Metabolite InformationStructural formula
Name Ipomotaoside C
Formula C71H116O21
Mw 1304.80091077
CAS RN 1255952-66-9
C_ID C00056742
InChIKey SUNFNBPOXNNWGR-RQSNGXSLSA-N
InChICode InChI=1S/C71H116O21/c1-8-11-14-16-18-19-23-27-34-41-52(72)86-61-47(5)83-70(66(58(61)78)89-55(75)45-44-50-37-31-29-32-38-50)90-62-48(6)84-71(67(59(62)79)88-54(74)43-36-26-21-17-15-12-9-2)91-63-49(7)82-68-60(80)64(63)87-53(73)42-35-28-24-20-22-25-33-40-51(39-30-13-10-3)85-69-65(92-68)57(77)56(76)46(4)81-69/h29,31-32,37-38,44-49,51,56-71,76-80H,8-28,30,33-36,39-43H2,1-7H3/b45-44+/t46-,47+,48+,49+,51+,56+,57+,58-,59-,60-,61+,62+,63+,64+,65-,66-,67-,68+,69+,70+,71+/m1/s1
SMILES CCCCCCCCCCCC(=O)O[C@@H]1[C@@H](O)[C@@H](OC(=O)/C=C/c2ccccc2)[C@H](O[C@@H]2[C@@H](O)[C@@H](OC(=O)CCCCCCCCC)[C@H](O[C@@H]3[C@H]4OC(=O)CCCCCCCCC[C@H](CCCCC)O[C@@H]5O[C@H](C)[C@H](O)[C@H](O)[C@H]5O[C@H](O[C@H]3C)[C@@H]4O)O[C@H]2C)O[C@H]1C
Start Substs in Alk. Biosynthesis (Prediction)
Organism
Kingdom Family Species Reference
PlantaeConvolvulaceaeIpomoea batatas Ref.
zoom in