input word = C00056721

Metabolite InformationStructural formula
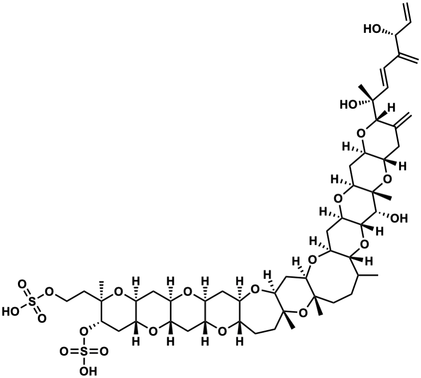
Name 45-Hydroxyyessotoxin
Formula C55H82O22S2
Mw 1158.47391577
CAS RN 124863-39-4
C_ID C00056721
InChIKey CWRLIVGLMMHNBD-SHQGAQLQSA-N
InChICode InChI=1S/C55H82O22S2/c1-10-30(56)27(2)11-14-51(5,58)50-29(4)19-39-38(72-50)25-46-55(9,75-39)49(57)48-42(71-46)23-41-47(73-48)28(3)12-15-53(7)44(70-41)26-43-54(8,77-53)16-13-31-32(69-43)20-34-33(66-31)21-35-36(67-34)22-40-37(68-35)24-45(76-79(62,63)64)52(6,74-40)17-18-65-78(59,60)61/h10-11,14,28,30-50,56-58H,1-2,4,12-13,15-26H2,3,5-9H3,(H,59,60,61)(H,62,63,64)/b14-11+/t28?,30-,31+,32-,33-,34+,35+,36-,37-,38-,39+,40+,41+,42-,43+,44-,45+,46+,47-,48-,49-,50+,51-,52-,53+,54-,55+/m1/s1
SMILES C=C[C@@H](O)C(=C)/C=C/[C@@](C)(O)[C@H]1O[C@@H]2C[C@@H]3O[C@@H]4C[C@@H]5O[C@@H]6C[C@@H]7O[C@@H]8C[C@@H]9O[C@@H]%10C[C@@H]%11O[C@](C)(CCOS(=O)(=O)O)[C@@H](OS(=O)(=O)O)C[C@H]%11O[C@H]%10C[C@H]9O[C@H]8CC[C@@]7(C)O[C@@]6(C)CCC(C)[C@H]5O[C@H]4[C@@H](O)[C@@]3(C)O[C@H]2CC1=C
Start Substs in Alk. Biosynthesis (Prediction)
Organism
Kingdom Family Species Reference
--Patinopecten yessoensis Ref.
zoom in