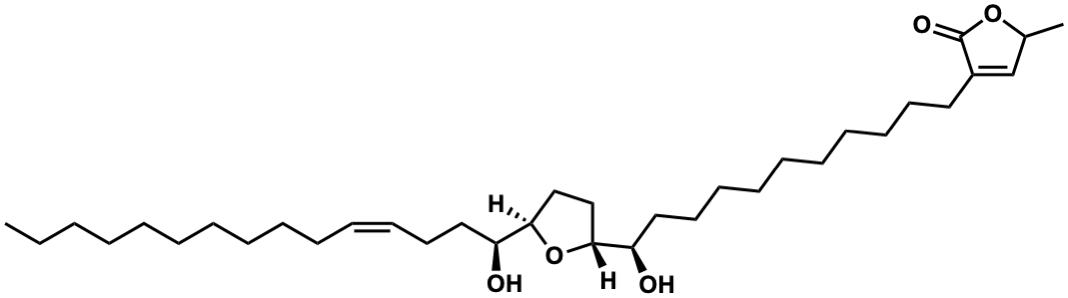
| Name |
Dotistenin |
| Formula |
C35H62O5 |
| Mw |
562.45972509 |
| CAS RN |
1208234-86-9 |
| C_ID |
C00056643
|
| InChIKey |
BWPXIORVXNEAEL-CNAGOSLXSA-N |
| InChICode |
InChI=1S/C35H62O5/c1-3-4-5-6-7-8-9-10-11-15-18-21-24-31(36)33-26-27-34(40-33)32(37)25-22-19-16-13-12-14-17-20-23-30-28-29(2)39-35(30)38/h15,18,28-29,31-34,36-37H,3-14,16-17,19-27H2,1-2H3/b18-15-/t29?,31-,32+,33+,34+/m0/s1 |
| SMILES |
CCCCCCCCCC/C=CCC[C@H](O)[C@H]1CC[C@H]([C@H](O)CCCCCCCCCCC2=CC(C)OC2=O)O1 |
| Start Substs in Alk. Biosynthesis (Prediction) |
|
| Organism |
| Kingdom |
Family |
Species |
Reference |
| Plantae | Annonaceae | Annona squamosa  | Ref. |
|
|
zoom in
|