| Name |
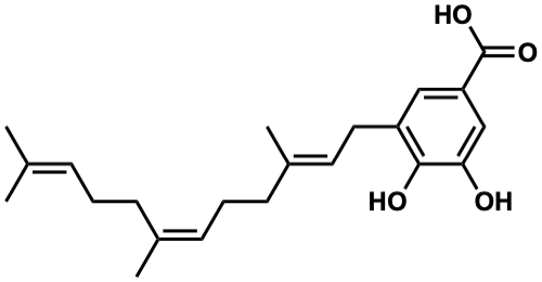
3,4-Dihydroxy-5-(3,7,11-trimethyl-2,6,10-dodecatrienyl)benzoic acid |
| Formula |
C22H30O4 |
| Mw |
358.21440945 |
| CAS RN |
110979-04-9 |
| C_ID |
C00056456
|
| InChIKey |
VWHKYMBCXCSQEZ-KKYJLSSQSA-N |
| InChICode |
InChI=1S/C22H30O4/c1-15(2)7-5-8-16(3)9-6-10-17(4)11-12-18-13-19(22(25)26)14-20(23)21(18)24/h7,9,11,13-14,23-24H,5-6,8,10,12H2,1-4H3,(H,25,26)/b16-9-,17-11+ |
| SMILES |
CC(C)=CCC/C(C)=CCC/C(C)=C/Cc1cc(C(=O)O)cc(O)c1O |
| Start Substs in Alk. Biosynthesis (Prediction) |
|
| Organism |
| Kingdom |
Family |
Species |
Reference |
| Plantae | Piperaceae | Piper auritum  | Ref. |
|
|
zoom in
|