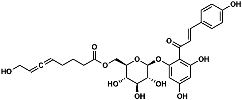
| Name |
6''-O-(8-Hydroxy-5,6-octadienoyl)isosalipurposide |
| Formula |
C29H32O12 |
| Mw |
572.18937649 |
| CAS RN |
1000597-32-9 |
| C_ID |
C00056299
|
| InChIKey |
UREYLMYYTAVPKZ-WFUJJZLASA-N |
| InChICode |
InChI=1S/C29H32O12/c30-13-5-3-1-2-4-6-24(35)39-16-23-26(36)27(37)28(38)29(41-23)40-22-15-19(32)14-21(34)25(22)20(33)12-9-17-7-10-18(31)11-8-17/h1,5,7-12,14-15,23,26-32,34,36-38H,2,4,6,13,16H2/b12-9+/t3?,23-,26-,27+,28-,29-/m1/s1 |
| SMILES |
O=C(CCCC=C=CCO)OC[C@H]1O[C@@H](Oc2cc(O)cc(O)c2C(=O)/C=C/c2ccc(O)cc2)[C@H](O)[C@@H](O)[C@@H]1O |
| Start Substs in Alk. Biosynthesis (Prediction) |
|
| Organism |
| Kingdom |
Family |
Species |
Reference |
| Plantae | Euphorbiaceae | Sapium sebiferum  | Ref. |
|
|
zoom in
|