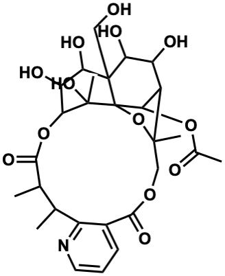
| Name |
Tripterygiumine H |
| Formula |
C28H37NO13 |
| Mw |
595.22649028 |
| CAS RN |
73257-63-3 |
| C_ID |
C00056236
|
| InChIKey |
YJKXLSCFBOZBDS-UHFFFAOYSA-N |
| InChICode |
InChI=1S/C28H37NO13/c1-11-12(2)23(36)41-22-18(33)20(35)27(9-30)19(34)17(32)15-21(40-13(3)31)28(27,26(22,5)38)42-25(15,4)10-39-24(37)14-7-6-8-29-16(11)14/h6-8,11-12,15,17-22,30,32-35,38H,9-10H2,1-5H3 |
| SMILES |
CC(=O)OC1C2C(O)C(O)C3(CO)C(O)C(O)C4OC(=O)C(C)C(C)c5ncccc5C(=O)OCC2(C)OC13C4(C)O |
| Start Substs in Alk. Biosynthesis (Prediction) |
|
| Organism |
| Kingdom |
Family |
Species |
Reference |
| Plantae | Celastraceae | Tripterygium wilfordii  | Ref. |
|
|
zoom in
|