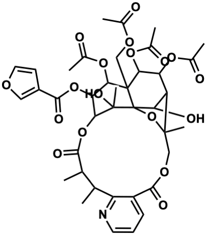
| Name |
Tripterygiumine E |
| Formula |
C39H45NO18 |
| Mw |
815.26366364 |
| CAS RN |
1616264-64-2 |
| C_ID |
C00056233
|
| InChIKey |
ICLRZNPHUHBJST-UHFFFAOYSA-N |
| InChICode |
InChI=1S/C39H45NO18/c1-17-18(2)33(46)57-30-28(56-34(47)23-11-13-50-14-23)32(55-22(6)44)38(16-51-19(3)41)31(54-21(5)43)27(53-20(4)42)25-29(45)39(38,37(30,8)49)58-36(25,7)15-52-35(48)24-10-9-12-40-26(17)24/h9-14,17-18,25,27-32,45,49H,15-16H2,1-8H3 |
| SMILES |
CC(=O)OCC12C(OC(C)=O)C(OC(C)=O)C3C(O)C14OC3(C)COC(=O)c1cccnc1C(C)C(C)C(=O)OC(C(OC(=O)c1ccoc1)C2OC(C)=O)C4(C)O |
| Start Substs in Alk. Biosynthesis (Prediction) |
|
| Organism |
| Kingdom |
Family |
Species |
Reference |
| Plantae | Celastraceae | Tripterygium wilfordii  | Ref. |
|
|
zoom in
|