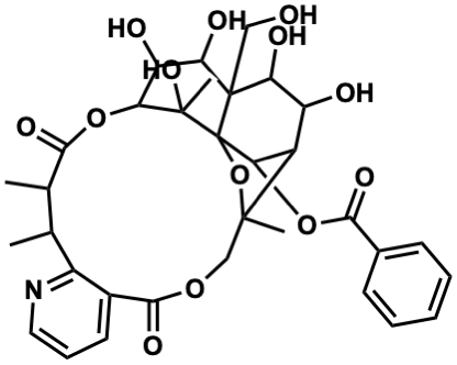
| Name |
Tripterygiumine D |
| Formula |
C33H39NO13 |
| Mw |
657.24214034 |
| CAS RN |
1616264-63-1 |
| C_ID |
C00056232
|
| InChIKey |
OQJIUKQOFBVOMS-UHFFFAOYSA-N |
| InChICode |
InChI=1S/C33H39NO13/c1-15-16(2)27(40)46-26-22(37)24(39)32(13-35)23(38)21(36)19-25(45-28(41)17-9-6-5-7-10-17)33(32,31(26,4)43)47-30(19,3)14-44-29(42)18-11-8-12-34-20(15)18/h5-12,15-16,19,21-26,35-39,43H,13-14H2,1-4H3 |
| SMILES |
CC1C(=O)OC2C(O)C(O)C3(CO)C(O)C(O)C4C(OC(=O)c5ccccc5)C3(OC4(C)COC(=O)c3cccnc3C1C)C2(C)O |
| Start Substs in Alk. Biosynthesis (Prediction) |
|
| Organism |
| Kingdom |
Family |
Species |
Reference |
| Plantae | Celastraceae | Tripterygium wilfordii  | Ref. |
|
|
zoom in
|