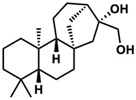
| Name |
ent-Kauran-16beta,17-diol |
| Formula |
C20H34O2 |
| Mw |
306.25588033 |
| CAS RN |
16836-31-0 |
| C_ID |
C00055813
|
| InChIKey |
LCYWCTWYVKIBSA-URTLRTLISA-N |
| InChICode |
InChI=1S/C20H34O2/c1-17(2)8-4-9-18(3)15(17)7-10-19-11-14(5-6-16(18)19)20(22,12-19)13-21/h14-16,21-22H,4-13H2,1-3H3/t14-,15-,16+,18-,19+,20+/m1/s1 |
| SMILES |
CC1(C)CCC[C@]2(C)[C@@H]1CC[C@@]13C[C@@H](CC[C@H]12)[C@@](O)(CO)C3 |
| Start Substs in Alk. Biosynthesis (Prediction) |
|
| Organism |
| Kingdom |
Family |
Species |
Reference |
| Plantae | Aristolochiaceae | Aristolochia elegans  | Ref. |
| Plantae | Aristolochiaceae | Aristolochia pubescens | Ref. |
| Plantae | Aristolochiaceae | Aristolochia triangularis | Ref. |
|
|
zoom in
|