input word = C00055782

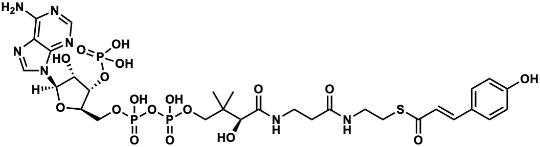
Metabolite InformationStructural formula
Name Coumaroyl-CoA
Formula C30H42N7O18P3S
Mw 913.15198779
CAS RN 119785-99-8
C_ID C00055782
InChIKey DMZOKBALNZWDKI-UXZGQIJRSA-N
InChICode InChI=1S/C30H42N7O18P3S/c1-30(2,25(42)28(43)33-10-9-20(39)32-11-12-59-21(40)8-5-17-3-6-18(38)7-4-17)14-52-58(49,50)55-57(47,48)51-13-19-24(54-56(44,45)46)23(41)29(53-19)37-16-36-22-26(31)34-15-35-27(22)37/h3-8,15-16,19,23-25,29,38,41-42H,9-14H2,1-2H3,(H,32,39)(H,33,43)(H,47,48)(H,49,50)(H2,31,34,35)(H2,44,45,46)/b8-5+/t19-,23-,24-,25-,29-/m1/s1
SMILES CC(C)(COP(=O)(O)OP(=O)(O)OC[C@H]1O[C@@H](n2cnc3c(N)ncnc32)[C@H](O)[C@@H]1OP(=O)(O)O)[C@H](O)C(=O)NCCC(=O)NCCSC(=O)/C=C/c1ccc(O)cc1
Start Substs in Alk. Biosynthesis (Prediction)
Organism
Kingdom Family Species Reference
PlantaeCruciferaeArabidopsis thaliana Ref.
PlantaeFabaceaeMedicago sativa Ref.
PlantaePinaceaePinus spp. Ref.
PlantaePoaceaeZea mays Ref.
PlantaeSalicaceaePopulus spp. Ref.
PlantaeStaphyleaceaeEuscaphis konishii Ref.
zoom in