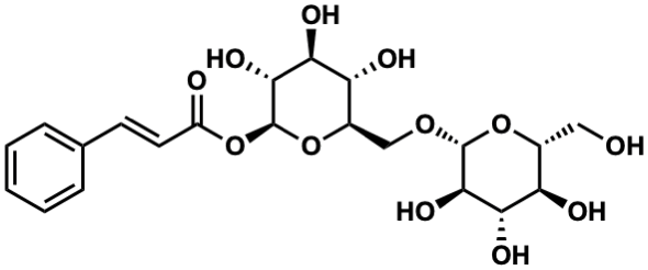
| Name |
1-O-Cinnamoyl-beta-D-gentiobiose |
| Formula |
C21H28O12 |
| Mw |
472.15807636 |
| CAS RN |
181373-65-9 |
| C_ID |
C00055537
|
| InChIKey |
VFNCMPJNJCOCMS-KLZQJKIXSA-N |
| InChICode |
InChI=1S/C21H28O12/c22-8-11-14(24)16(26)18(28)20(31-11)30-9-12-15(25)17(27)19(29)21(32-12)33-13(23)7-6-10-4-2-1-3-5-10/h1-7,11-12,14-22,24-29H,8-9H2/b7-6+/t11-,12-,14-,15-,16+,17+,18-,19-,20-,21+/m1/s1 |
| SMILES |
O=C(/C=C/c1ccccc1)O[C@@H]1O[C@H](CO[C@@H]2O[C@H](CO)[C@@H](O)[C@H](O)[C@H]2O)[C@@H](O)[C@H](O)[C@H]1O |
| Start Substs in Alk. Biosynthesis (Prediction) |
|
| Organism |
| Kingdom |
Family |
Species |
Reference |
| Plantae | Solanaceae | Physalis peruviana  | Ref. |
|
|
zoom in
|