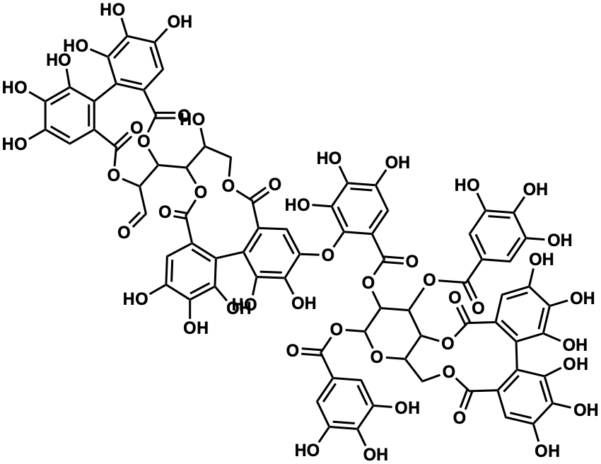
input word = C00055533

Metabolite InformationStructural formula
Name Camellioferin A
Formula C75H52O48
Mw 1720.16280353
CAS RN 159935-08-7
C_ID C00055533
InChIKey UQZOEGGMYQJSEI-UHFFFAOYSA-N
InChICode InChI=1S/C75H52O48/c76-12-36-62(119-72(110)21-9-32(85)49(93)56(100)41(21)39-18(70(108)116-36)6-29(82)47(91)54(39)98)61-34(87)13-113-69(107)22-11-35(52(96)58(102)43(22)42-19(71(109)118-61)7-30(83)50(94)57(42)101)115-60-23(10-33(86)51(95)59(60)103)74(112)122-65-64(121-66(104)15-1-24(77)44(88)25(78)2-15)63-37(117-75(65)123-67(105)16-3-26(79)45(89)27(80)4-16)14-114-68(106)17-5-28(81)46(90)53(97)38(17)40-20(73(111)120-63)8-31(84)48(92)55(40)99/h1-12,34,36-37,61-65,75,77-103H,13-14H2
SMILES O=CC1OC(=O)c2cc(O)c(O)c(O)c2-c2c(cc(O)c(O)c2O)C(=O)OC1C1OC(=O)c2cc(O)c(O)c(O)c2-c2c(cc(Oc3c(C(=O)OC4C(OC(=O)c5cc(O)c(O)c(O)c5)OC5COC(=O)c6cc(O)c(O)c(O)c6-c6c(cc(O)c(O)c6O)C(=O)OC5C4OC(=O)c4cc(O)c(O)c(O)c4)cc(O)c(O)c3O)c(O)c2O)C(=O)OCC1O
Start Substs in Alk. Biosynthesis (Prediction)
Organism
Kingdom Family Species Reference
PlantaeTheaceaeCamellia oleifera Ref.
zoom in