input word = C00055454

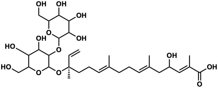
Metabolite InformationStructural formula
Name Capsianside III
Formula C32H52O14
Mw 660.33570637
CAS RN 121961-81-7
C_ID C00055454
InChIKey ISQUNAAALVXWGI-MZMPKEPHSA-N
InChICode InChI=1S/C32H52O14/c1-6-32(5,12-8-11-17(2)9-7-10-18(3)13-20(35)14-19(4)29(41)42)46-31-28(26(39)24(37)22(16-34)44-31)45-30-27(40)25(38)23(36)21(15-33)43-30/h6,10-11,14,20-28,30-31,33-40H,1,7-9,12-13,15-16H2,2-5H3,(H,41,42)/b17-11+,18-10+,19-14+/t20?,21?,22?,23?,24?,25?,26?,27?,28?,30?,31?,32-/m0/s1
SMILES C=C[C@@](C)(CC/C=C(C)CC/C=C(C)CC(O)/C=C(C)C(=O)O)OC1OC(CO)C(O)C(O)C1OC1OC(CO)C(O)C(O)C1O
Start Substs in Alk. Biosynthesis (Prediction)
Organism
Kingdom Family Species Reference
PlantaeSolanaceaeCapsicum annuum Ref.
zoom in