input word = C00055450

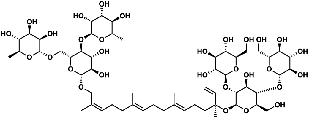
Metabolite InformationStructural formula
Name Capsianoside IX
Formula C56H94O30
Mw 1246.58299167
CAS RN 919121-12-3
C_ID C00055450
InChIKey YNXBNICISLIKLI-NMHHAJKESA-N
InChICode InChI=1S/C56H94O30/c1-8-56(7,86-55-49(85-54-44(72)39(67)35(63)29(19-58)80-54)46(74)47(30(20-59)81-55)83-53-43(71)38(66)34(62)28(18-57)79-53)17-11-16-24(3)13-9-12-23(2)14-10-15-25(4)21-75-51-45(73)40(68)48(84-52-42(70)37(65)33(61)27(6)78-52)31(82-51)22-76-50-41(69)36(64)32(60)26(5)77-50/h8,12,15-16,26-55,57-74H,1,9-11,13-14,17-22H2,2-7H3/b23-12+,24-16+,25-15-/t26-,27-,28+,29+,30+,31+,32-,33-,34+,35+,36+,37+,38-,39-,40+,41+,42+,43+,44+,45+,46-,47+,48+,49+,50+,51+,52-,53-,54-,55-,56+/m0/s1
SMILES C=C[C@](C)(CC/C=C(C)CC/C=C(C)CC/C=C(/C)CO[C@@H]1O[C@H](CO[C@@H]2O[C@@H](C)[C@H](O)[C@@H](O)[C@H]2O)[C@@H](O[C@@H]2O[C@@H](C)[C@H](O)[C@@H](O)[C@H]2O)[C@H](O)[C@H]1O)O[C@@H]1O[C@H](CO)[C@@H](O[C@@H]2O[C@H](CO)[C@@H](O)[C@H](O)[C@H]2O)[C@H](O)[C@H]1O[C@@H]1O[C@H](CO)[C@@H](O)[C@H](O)[C@H]1O
Start Substs in Alk. Biosynthesis (Prediction)
Organism
Kingdom Family Species Reference
PlantaeSolanaceaeCapsicum annuum Ref.
zoom in