input word = C00055431

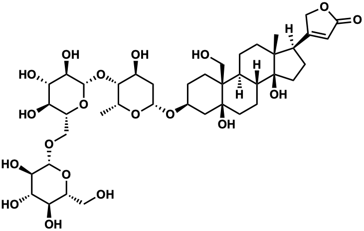
Metabolite InformationStructural formula
Name Corchorusoside E
Formula C41H64O19
Mw 860.40417987
CAS RN 210637-19-7
C_ID C00055431
InChIKey ZEGXQALGZJKCGX-OWLQQNDCSA-N
InChICode InChI=1S/C41H64O19/c1-18-35(60-37-34(51)32(49)30(47)26(59-37)16-55-36-33(50)31(48)29(46)25(14-42)58-36)24(44)12-28(56-18)57-20-3-8-39(17-43)22-4-7-38(2)21(19-11-27(45)54-15-19)6-10-41(38,53)23(22)5-9-40(39,52)13-20/h11,18,20-26,28-37,42-44,46-53H,3-10,12-17H2,1-2H3/t18-,20+,21-,22+,23-,24+,25-,26-,28+,29-,30-,31+,32+,33-,34-,35+,36-,37+,38-,39+,40+,41+/m1/s1
SMILES C[C@H]1O[C@@H](O[C@H]2CC[C@]3(CO)[C@H]4CC[C@]5(C)[C@@H](C6=CC(=O)OC6)CC[C@]5(O)[C@@H]4CC[C@]3(O)C2)C[C@H](O)[C@H]1O[C@@H]1O[C@H](CO[C@@H]2O[C@H](CO)[C@@H](O)[C@H](O)[C@H]2O)[C@@H](O)[C@H](O)[C@H]1O
Start Substs in Alk. Biosynthesis (Prediction)
Organism
Kingdom Family Species Reference
PlantaeMalvaceaeCorchorus olitorius Ref.
zoom in