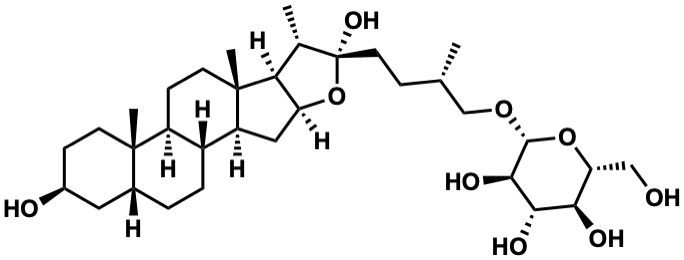
| Name |
Asparagoside B |
| Formula |
C33H56O9 |
| Mw |
596.39243339 |
| CAS RN |
60237-69-6 |
| C_ID |
C00055394
|
| InChIKey |
FBJYDOQUXQMQSS-TXUJEBAWSA-N |
| InChICode |
InChI=1S/C33H56O9/c1-17(16-40-30-29(38)28(37)27(36)25(15-34)41-30)7-12-33(39)18(2)26-24(42-33)14-23-21-6-5-19-13-20(35)8-10-31(19,3)22(21)9-11-32(23,26)4/h17-30,34-39H,5-16H2,1-4H3/t17-,18-,19+,20-,21+,22-,23-,24-,25+,26-,27+,28-,29+,30+,31-,32-,33+/m0/s1 |
| SMILES |
C[C@@H](CC[C@@]1(O)O[C@H]2C[C@H]3[C@@H]4CC[C@@H]5C[C@@H](O)CC[C@]5(C)[C@H]4CC[C@]3(C)[C@H]2[C@@H]1C)CO[C@@H]1O[C@H](CO)[C@@H](O)[C@H](O)[C@H]1O |
| Start Substs in Alk. Biosynthesis (Prediction) |
|
| Organism |
| Kingdom |
Family |
Species |
Reference |
| Plantae | Asparagaceae | Asparagus officinalis  | Ref. |
|
|
zoom in
|