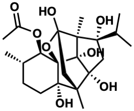
| Name |
Cinnzeylanine |
| Formula |
C22H34O8 |
| Mw |
426.22536806 |
| CAS RN |
62203-47-8 |
| C_ID |
C00055301
|
| InChIKey |
DFYFOAFKHRTQLA-PIKMFBPASA-N |
| InChICode |
InChI=1S/C22H34O8/c1-11(2)17(24)10-19(26)15(5)9-20(27)16(17,6)22(19,28)21(30-20)14(29-13(4)23)12(3)7-8-18(15,21)25/h11-12,14,24-28H,7-10H2,1-6H3/t12-,14+,15-,16+,17-,18-,19+,20-,21+,22+/m0/s1 |
| SMILES |
CC(=O)O[C@@H]1[C@@H](C)CC[C@]2(O)[C@]3(C)C[C@]4(O)O[C@]12[C@]1(O)[C@@]3(O)C[C@](O)(C(C)C)[C@@]14C |
| Start Substs in Alk. Biosynthesis (Prediction) |
|
| Organism |
| Kingdom |
Family |
Species |
Reference |
| Plantae | Lauraceae | Cinnamomum cassia  | Ref. |
| Plantae | Lauraceae | Cinnamomum zeylanicum  | Ref. |
|
|
zoom in
|