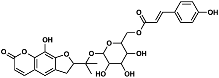
| Name |
Apiumoside |
| Formula |
C29H30O12 |
| Mw |
570.17372642 |
| CAS RN |
73485-93-5 |
| C_ID |
C00055247
|
| InChIKey |
PUPQENMYBCRTJC-WEVVVXLNSA-N |
| InChICode |
InChI=1S/C29H30O12/c1-29(2,19-12-16-11-15-6-10-21(32)40-26(15)25(36)27(16)39-19)41-28-24(35)23(34)22(33)18(38-28)13-37-20(31)9-5-14-3-7-17(30)8-4-14/h3-11,18-19,22-24,28,30,33-36H,12-13H2,1-2H3/b9-5+ |
| SMILES |
CC(C)(OC1OC(COC(=O)/C=C/c2ccc(O)cc2)C(O)C(O)C1O)C1Cc2cc3ccc(=O)oc3c(O)c2O1 |
| Start Substs in Alk. Biosynthesis (Prediction) |
|
| Organism |
| Kingdom |
Family |
Species |
Reference |
| Plantae | Apiaceae | Apium graveolens  | Ref. |
|
|
zoom in
|