input word = C00055235

Metabolite InformationStructural formula
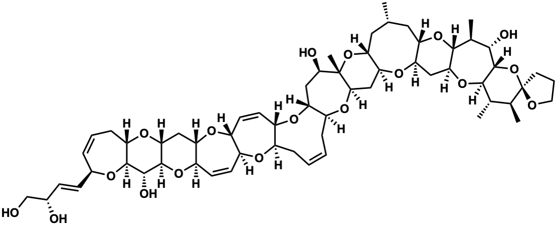
Name 54-Deoxyciguatoxin
Formula C60H86O18
Mw 1094.58141594
CAS RN 139341-09-6
C_ID C00055235
InChIKey RWSYPPRKMNWNII-JECWBDJGSA-N
InChICode InChI=1S/C60H86O18/c1-29-22-42-44(25-48-54(75-42)31(3)52(64)58-55(76-48)30(2)32(4)60(78-58)20-9-21-66-60)72-46-27-51-59(5,77-47(46)23-29)50(63)26-45-36(73-51)12-7-6-11-35-37(70-45)16-17-39-38(68-35)18-19-40-43(69-39)24-49-57(74-40)53(65)56-41(71-49)13-8-10-34(67-56)15-14-33(62)28-61/h6-8,10,14-19,29-58,61-65H,9,11-13,20-28H2,1-5H3/b7-6-,15-14+/t29-,30+,31+,32+,33+,34-,35-,36+,37+,38+,39-,40-,41+,42+,43+,44-,45-,46+,47-,48+,49-,50-,51-,52+,53-,54-,55-,56+,57-,58+,59+,60-/m1/s1
SMILES C[C@@H]1C[C@@H]2O[C@@H]3[C@@H](C)[C@H](O)[C@@H]4O[C@]5(CCCO5)[C@@H](C)[C@H](C)[C@H]4O[C@H]3C[C@H]2O[C@H]2C[C@H]3O[C@H]4C/C=CC[C@H]5O[C@H]6C=C[C@H]7O[C@H]8[C@H](O)[C@H]9O[C@@H](/C=C/[C@H](O)CO)C=CC[C@@H]9O[C@@H]8C[C@@H]7O[C@@H]6C=C[C@@H]5O[C@@H]4C[C@@H](O)[C@]3(C)O[C@@H]2C1
Start Substs in Alk. Biosynthesis (Prediction)
Organism
Kingdom Family Species Reference
--Gymnothorax javanicus Ref.
--Lycodontis javanicus Ref.
zoom in