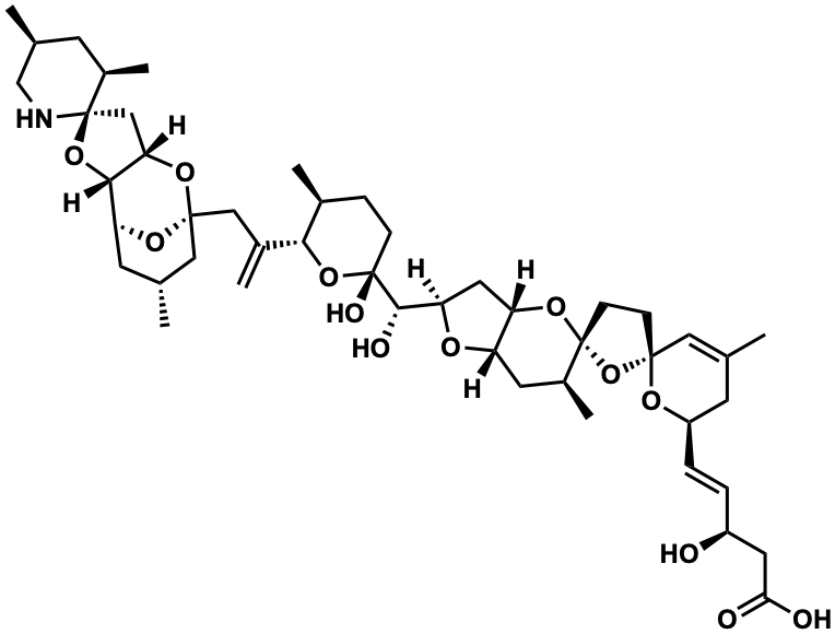
input word = C00055227

Metabolite InformationStructural formula
Name Azaspiracid 9
Formula C47H71NO13
Mw 857.49254136
CAS RN 629656-56-0
C_ID C00055227
InChIKey WUAUWHXMGJJBAG-FWKPCJPTSA-N
InChICode InChI=1S/C47H71NO13/c1-25-15-33(9-8-32(49)18-39(50)51)55-43(20-25)12-13-47(61-43)31(7)17-34-35(58-47)19-37(54-34)42(52)46(53)11-10-28(4)40(60-46)29(5)22-44-21-26(2)16-36(56-44)41-38(57-44)23-45(59-41)30(6)14-27(3)24-48-45/h8-9,20,26-28,30-38,40-42,48-49,52-53H,5,10-19,21-24H2,1-4,6-7H3,(H,50,51)/b9-8+/t26-,27+,28+,30-,31+,32+,33-,34+,35+,36+,37-,38+,40+,41+,42+,43-,44-,45-,46-,47-/m1/s1
SMILES C=C(C[C@]12C[C@H](C)C[C@H](O1)[C@@H]1O[C@@]3(C[C@@H]1O2)NC[C@@H](C)C[C@H]3C)[C@H]1O[C@@](O)([C@@H](O)[C@H]2C[C@@H]3O[C@@]4(CC[C@]5(C=C(C)C[C@@H](/C=C/[C@H](O)CC(=O)O)O5)O4)[C@@H](C)C[C@@H]3O2)CC[C@@H]1C
Start Substs in Alk. Biosynthesis (Prediction)
Organism
Kingdom Family Species Reference
--Mytilus edulis Ref.
zoom in