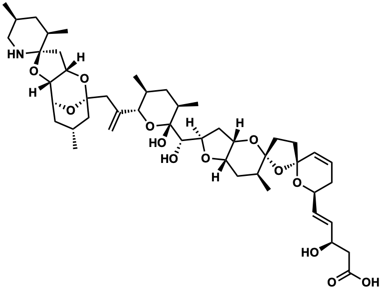
input word = C00055225

Metabolite InformationStructural formula
Name Azaspiracid 7
Formula C47H71NO13
Mw 857.49254136
CAS RN 629656-50-4
C_ID C00055225
InChIKey FVMPULMAWOZJPY-SPMYZIKNSA-N
InChICode InChI=1S/C47H71NO13/c1-25-16-36-41-38(23-45(59-41)29(5)15-26(2)24-48-45)57-44(21-25,56-36)22-28(4)40-27(3)17-31(7)47(53,60-40)42(52)37-20-35-34(54-37)18-30(6)46(58-35)14-13-43(61-46)12-8-9-33(55-43)11-10-32(49)19-39(50)51/h8,10-12,25-27,29-38,40-42,48-49,52-53H,4,9,13-24H2,1-3,5-7H3,(H,50,51)/b11-10+/t25-,26+,27+,29-,30+,31-,32+,33+,34+,35+,36+,37-,38+,40+,41+,42+,43+,44-,45-,46-,47-/m1/s1
SMILES C=C(C[C@]12C[C@H](C)C[C@H](O1)[C@@H]1O[C@@]3(C[C@@H]1O2)NC[C@@H](C)C[C@H]3C)[C@H]1O[C@@](O)([C@@H](O)[C@H]2C[C@@H]3O[C@@]4(CC[C@]5(C=CC[C@@H](/C=C/[C@H](O)CC(=O)O)O5)O4)[C@@H](C)C[C@@H]3O2)[C@H](C)C[C@@H]1C
Start Substs in Alk. Biosynthesis (Prediction)
Organism
Kingdom Family Species Reference
--Mytilus edulis Ref.
zoom in