input word = C00055224

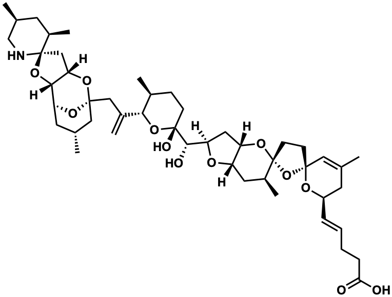
Metabolite InformationStructural formula
Name Azaspiracid 6
Formula C47H71NO12
Mw 841.49762674
CAS RN 629656-47-9
C_ID C00055224
InChIKey PKYRXWFYYXLLSQ-LRLWBXCWSA-N
InChICode InChI=1S/C47H71NO12/c1-26-17-33(10-8-9-11-39(49)50)54-43(21-26)14-15-47(60-43)32(7)19-34-35(57-47)20-37(53-34)42(51)46(52)13-12-29(4)40(59-46)30(5)23-44-22-27(2)18-36(55-44)41-38(56-44)24-45(58-41)31(6)16-28(3)25-48-45/h8,10,21,27-29,31-38,40-42,48,51-52H,5,9,11-20,22-25H2,1-4,6-7H3,(H,49,50)/b10-8+/t27-,28+,29+,31-,32+,33-,34+,35+,36+,37-,38+,40+,41+,42+,43-,44-,45-,46-,47-/m1/s1
SMILES C=C(C[C@]12C[C@H](C)C[C@H](O1)[C@@H]1O[C@@]3(C[C@@H]1O2)NC[C@@H](C)C[C@H]3C)[C@H]1O[C@@](O)([C@@H](O)[C@H]2C[C@@H]3O[C@@]4(CC[C@]5(C=C(C)C[C@@H](/C=C/CCC(=O)O)O5)O4)[C@@H](C)C[C@@H]3O2)CC[C@@H]1C
Start Substs in Alk. Biosynthesis (Prediction)
Organism
Kingdom Family Species Reference
--Mytilus edulis Ref.
zoom in