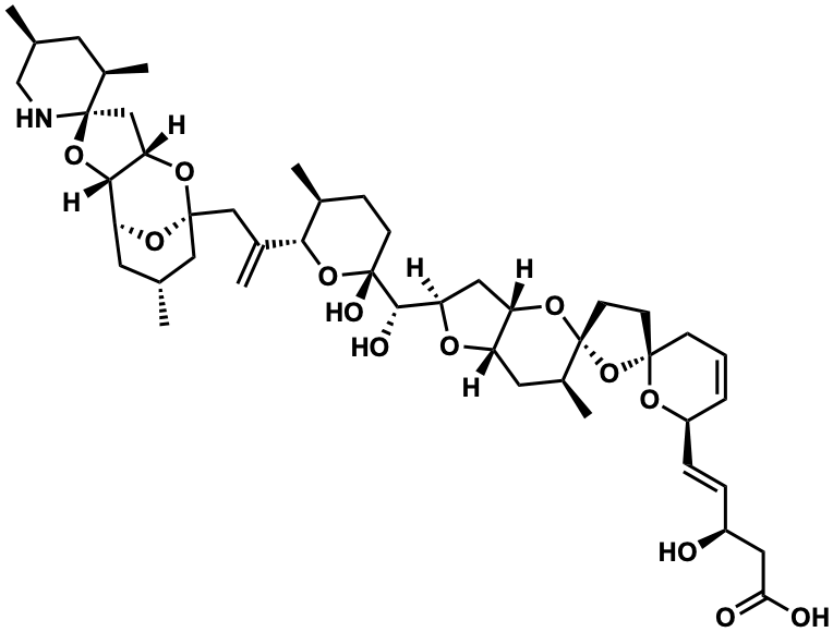
input word = C00055222

Metabolite InformationStructural formula
Name Azaspiracid 4
Formula C46H69NO13
Mw 843.4768913
CAS RN 344422-49-7
C_ID C00055222
InChIKey ZTTACMNCQPVUOH-JOAUMJRMSA-N
InChICode InChI=1S/C46H69NO13/c1-25-17-35-40-37(23-44(58-40)29(5)16-26(2)24-47-44)56-43(21-25,55-35)22-28(4)39-27(3)11-13-45(52,59-39)41(51)36-20-34-33(53-36)18-30(6)46(57-34)15-14-42(60-46)12-7-8-32(54-42)10-9-31(48)19-38(49)50/h7-10,25-27,29-37,39-41,47-48,51-52H,4,11-24H2,1-3,5-6H3,(H,49,50)/b10-9+/t25-,26+,27+,29-,30+,31+,32+,33+,34+,35+,36-,37+,39+,40+,41+,42+,43-,44-,45-,46-/m1/s1
SMILES C=C(C[C@]12C[C@H](C)C[C@H](O1)[C@@H]1O[C@@]3(C[C@@H]1O2)NC[C@@H](C)C[C@H]3C)[C@H]1O[C@@](O)([C@@H](O)[C@H]2C[C@@H]3O[C@@]4(CC[C@]5(CC=C[C@@H](/C=C/[C@H](O)CC(=O)O)O5)O4)[C@@H](C)C[C@@H]3O2)CC[C@@H]1C
Start Substs in Alk. Biosynthesis (Prediction)
Organism
Kingdom Family Species Reference
--Mytilus edulis Ref.
zoom in