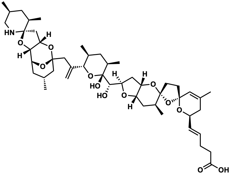
input word = C00055220

Metabolite InformationStructural formula
Name Azaspiracid 2
Formula C48H73NO12
Mw 855.5132768
CAS RN 265996-92-7
C_ID C00055220
InChIKey HTORKLPLHJXOOZ-PPWLEYITSA-N
InChICode InChI=1S/C48H73NO12/c1-26-16-34(11-9-10-12-40(50)51)55-44(21-26)13-14-47(61-44)32(7)19-35-36(58-47)20-38(54-35)43(52)48(53)33(8)18-29(4)41(60-48)30(5)23-45-22-27(2)17-37(56-45)42-39(57-45)24-46(59-42)31(6)15-28(3)25-49-46/h9,11,21,27-29,31-39,41-43,49,52-53H,5,10,12-20,22-25H2,1-4,6-8H3,(H,50,51)/b11-9+/t27-,28+,29+,31-,32+,33-,34-,35+,36+,37-,38-,39+,41+,42+,43+,44-,45+,46-,47-,48-/m1/s1
SMILES C=C(C[C@@]12C[C@H](C)C[C@@H](O1)[C@@H]1O[C@@]3(C[C@@H]1O2)NC[C@@H](C)C[C@H]3C)[C@H]1O[C@@](O)([C@@H](O)[C@H]2C[C@@H]3O[C@@]4(CC[C@]5(C=C(C)C[C@@H](/C=C/CCC(=O)O)O5)O4)[C@@H](C)C[C@@H]3O2)[C@H](C)C[C@@H]1C
Start Substs in Alk. Biosynthesis (Prediction)
Organism
Kingdom Family Species Reference
--Mytilus edulis Ref.
zoom in