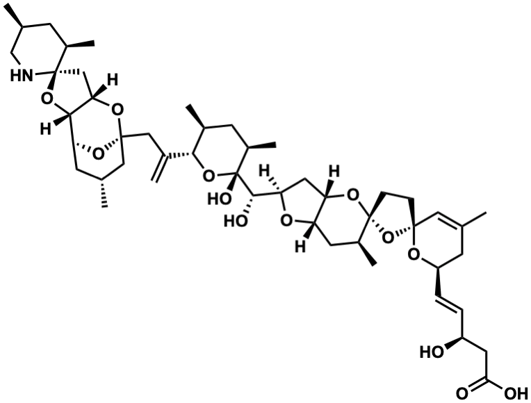
input word = C00055214

Metabolite InformationStructural formula
Name Azaspiracid 11
Formula C48H73NO13
Mw 871.50819143
CAS RN 629656-62-8
C_ID C00055214
InChIKey DRTXFMNCJGKDKI-BIQUAMIWSA-N
InChICode InChI=1S/C48H73NO13/c1-25-14-34(10-9-33(50)18-40(51)52)56-44(20-25)11-12-47(62-44)31(7)17-35-36(59-47)19-38(55-35)43(53)48(54)32(8)16-28(4)41(61-48)29(5)22-45-21-26(2)15-37(57-45)42-39(58-45)23-46(60-42)30(6)13-27(3)24-49-46/h9-10,20,26-28,30-39,41-43,49-50,53-54H,5,11-19,21-24H2,1-4,6-8H3,(H,51,52)/b10-9+/t26-,27+,28+,30-,31+,32-,33+,34-,35+,36+,37+,38-,39+,41+,42+,43+,44-,45-,46-,47-,48-/m1/s1
SMILES C=C(C[C@]12C[C@H](C)C[C@H](O1)[C@@H]1O[C@@]3(C[C@@H]1O2)NC[C@@H](C)C[C@H]3C)[C@H]1O[C@@](O)([C@@H](O)[C@H]2C[C@@H]3O[C@@]4(CC[C@]5(C=C(C)C[C@@H](/C=C/[C@H](O)CC(=O)O)O5)O4)[C@@H](C)C[C@@H]3O2)[C@H](C)C[C@@H]1C
Start Substs in Alk. Biosynthesis (Prediction)
Organism
Kingdom Family Species Reference
--Mytilus edulis Ref.
zoom in