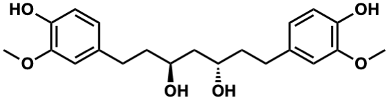
| Name |
1,7-Bis(4-hydroxy-3-methoxyphenyl)-3,5-heptanediol |
| Formula |
C21H28O6 |
| Mw |
376.18858863 |
| CAS RN |
112494-41-4 |
| C_ID |
C00055175
|
| InChIKey |
OELMAFBLFOKZJD-IRXDYDNUSA-N |
| InChICode |
InChI=1S/C21H28O6/c1-26-20-11-14(5-9-18(20)24)3-7-16(22)13-17(23)8-4-15-6-10-19(25)21(12-15)27-2/h5-6,9-12,16-17,22-25H,3-4,7-8,13H2,1-2H3/t16-,17-/m0/s1 |
| SMILES |
COc1cc(CC[C@H](O)C[C@@H](O)CCc2ccc(O)c(OC)c2)ccc1O |
| Start Substs in Alk. Biosynthesis (Prediction) |
|
| Organism |
| Kingdom |
Family |
Species |
Reference |
| Plantae | Zingiberaceae | Curcuma xanthorrhiza  | Ref. |
| Plantae | Zingiberaceae | Zingiber officinale  | Ref. |
|
|
zoom in
|