input word = C00055083

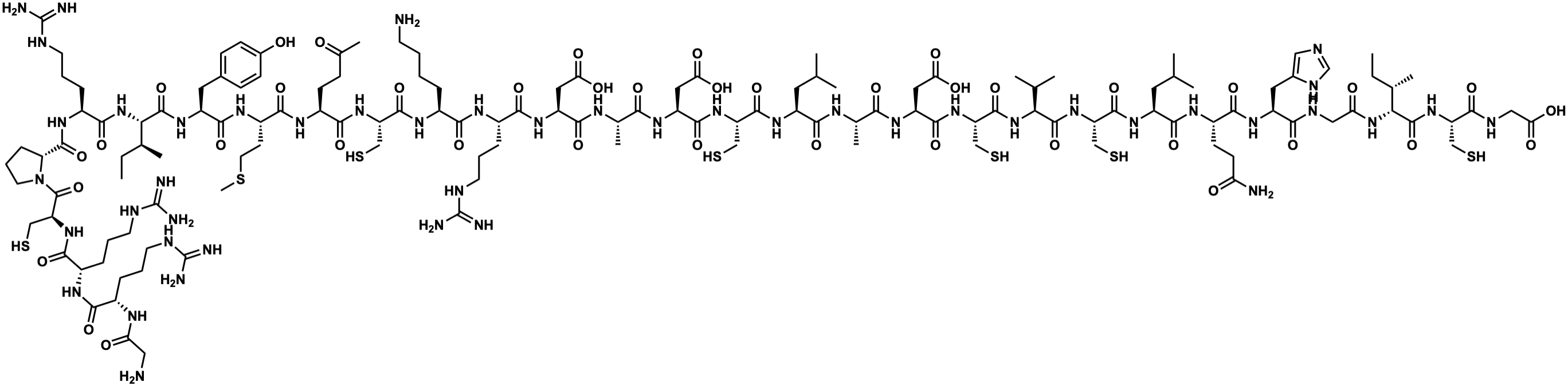
Metabolite InformationStructural formula
Name CVTI I
Formula C136H220N46O41S7
Mw 3377.45890598
CAS RN 113464-76-9
C_ID C00055083
InChIKey CNTXDBFYGSRZQO-DTZWOBQGSA-N
InChICode InChI=1S/C136H226N46O41S7/c1-14-66(9)104(130(221)176-88(56-224)109(200)154-55-102(195)196)179-97(186)54-153-108(199)84(48-71-53-148-62-155-71)170-114(205)78(33-35-95(139)184)163-120(211)82(46-64(5)6)169-126(217)91(59-227)177-129(220)103(65(7)8)180-127(218)92(60-228)175-123(214)87(51-101(193)194)167-106(197)68(11)156-118(209)81(45-63(3)4)168-125(216)90(58-226)174-122(213)86(50-100(191)192)166-107(198)69(12)157-119(210)85(49-99(189)190)171-112(203)75(25-19-40-150-134(142)143)160-111(202)74(23-16-17-38-137)161-124(215)89(57-225)173-115(206)79(34-36-98(187)188)162-116(207)80(37-44-230-13)164-121(212)83(47-70-29-31-72(183)32-30-70)172-131(222)105(67(10)15-2)181-117(208)77(27-21-42-152-136(146)147)165-128(219)94-28-22-43-182(94)132(223)93(61-229)178-113(204)76(26-20-41-151-135(144)145)159-110(201)73(158-96(185)52-138)24-18-39-149-133(140)141/h29-32,53,62-69,73-94,103-105,183,224-229H,14-28,33-52,54-61,137-138H2,1-13H3,(H2,139,184)(H,148,155)(H,153,199)(H,154,200)(H,156,209)(H,157,210)(H,158,185)(H,159,201)(H,160,202)(H,161,215)(H,162,207)(H,163,211)(H,164,212)(H,165,219)(H,166,198)(H,167,197)(H,168,216)(H,169,217)(H,170,205)(H,171,203)(H,172,222)(H,173,206)(H,174,213)(H,175,214)(H,176,221)(H,177,220)(H,178,204)(H,179,186)(H,180,218)(H,181,208)(H,187,188)(H,189,190)(H,191,192)(H,193,194)(H,195,196)(H4,140,141,149)(H4,142,143,150)(H4,144,145,151)(H4,146,147,152)/t66-,67-,68-,69-,73-,74-,75-,76-,77-,78-,79-,80-,81-,82-,83-,84-,85-,86-,87-,88-,89-,90-,91-,92-,93-,94+,103-,104+,105-/m0/s1
SMILES CC[C@H](C)[C@H](NC(=O)[C@H](CCCNC(=N)N)NC(=O)[C@H]1CCCN1C(=O)[C@H](CS)NC(=O)[C@H](CCCNC(=N)N)NC(=O)[C@H](CCCNC(=N)N)NC(=O)CN)C(=O)N[C@@H](Cc1ccc(O)cc1)C(=O)N[C@@H](CCSC)C(=O)N[C@@H](CCC(=O)O)C(=O)N[C@@H](CS)C(=O)N[C@@H](CCCCN)C(=O)N[C@@H](CCCNC(=N)N)C(=O)N[C@@H](CC(=O)O)C(=O)N[C@@H](C)C(=O)N[C@@H](CC(=O)O)C(=O)N[C@@H](CS)C(=O)N[C@@H](CC(C)C)C(=O)N[C@@H](C)C(=O)N[C@@H](CC(=O)O)C(=O)N[C@@H](CS)C(=O)N[C@H](C(=O)N[C@@H](CS)C(=O)N[C@@H](CC(C)C)C(=O)N[C@@H](CCC(N)=O)C(=O)N[C@@H](Cc1cnc[nH]1)C(=O)NCC(=O)N[C@@H](C(=O)N[C@@H](CS)C(=O)NCC(=O)O)[C@@H](C)CC)C(C)C
Start Substs in Alk. Biosynthesis (Prediction)
Organism
Kingdom Family Species Reference
PlantaeCucurbitaceaeCitrullus vulgaris Ref.
zoom in