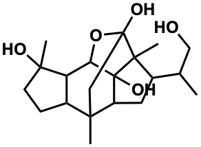
| Name |
Cinncassiol D1 |
| Formula |
C20H32O5 |
| Mw |
352.22497413 |
| CAS RN |
77353-84-5 |
| C_ID |
C00055045
|
| InChIKey |
RZCWUZMNOGOMNA-UHFFFAOYSA-N |
| InChICode |
InChI=1S/C20H32O5/c1-10(8-21)12-7-13-16(2)9-19(23)18(12,4)20(13,24)15(25-19)14-11(16)5-6-17(14,3)22/h10-15,21-24H,5-9H2,1-4H3 |
| SMILES |
CC(CO)C1CC2C3(C)CC4(O)OC(C5C3CCC5(C)O)C2(O)C14C |
| Start Substs in Alk. Biosynthesis (Prediction) |
|
| Organism |
| Kingdom |
Family |
Species |
Reference |
| Plantae | Lauraceae | Cinnamomum cassia  | Ref. |
|
|
zoom in
|