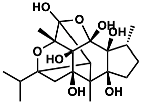
| Name |
Cinncassiol E |
| Formula |
C20H30O8 |
| Mw |
398.19406794 |
| CAS RN |
98751-76-9 |
| C_ID |
C00055044
|
| InChIKey |
KFWCNRCQYZWAFT-QLAQCCNWSA-N |
| InChICode |
InChI=1S/C20H30O8/c1-9(2)14-8-16(22)12(4)11(14)18(24)13(5,27-14)19(16,25)20(26,28-18)17(23)10(3)6-7-15(12,17)21/h9-11,21-26H,6-8H2,1-5H3/t10-,11?,12?,13-,14?,15+,16-,17+,18?,19-,20-/m1/s1 |
| SMILES |
CC(C)C12C[C@@]3(O)C4(C)C1C1(O)O[C@](O)([C@]5(O)[C@H](C)CC[C@]45O)[C@@]3(O)[C@]1(C)O2 |
| Start Substs in Alk. Biosynthesis (Prediction) |
|
| Organism |
| Kingdom |
Family |
Species |
Reference |
| Plantae | Lauraceae | Cinnamomum cassia  | Ref. |
|
|
zoom in
|