input word = C00055024

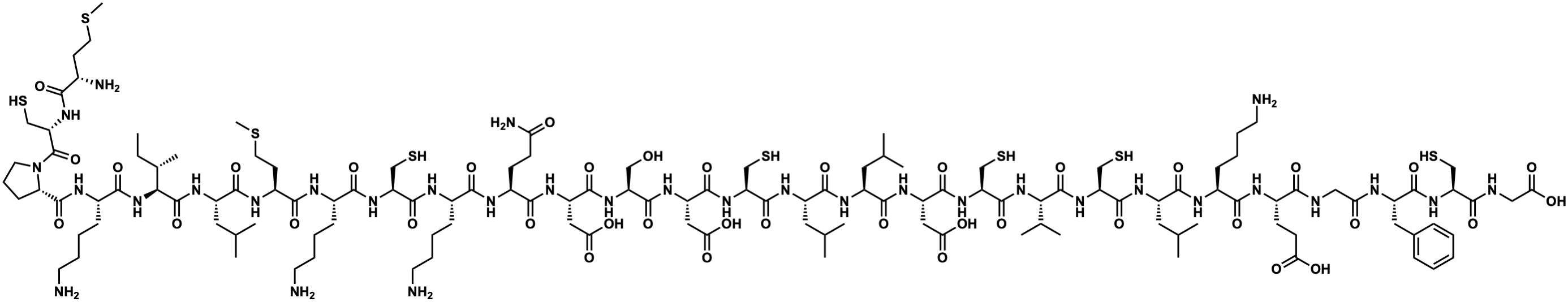
Metabolite InformationStructural formula
Name CmCTI-I
Formula C130H213N33O39S8
Mw 3116.34641015
CAS RN 144889-21-4
C_ID C00055024
InChIKey ZEUJCVIADBEMLB-AHYKMUICSA-N
InChICode InChI=1S/C130H219N33O39S8/c1-15-70(12)104(162-113(185)76(33-22-26-44-134)146-127(199)95-34-27-45-163(95)130(202)94(64-208)160-105(177)72(135)39-46-209-13)129(201)153-83(51-68(8)9)115(187)145-79(40-47-210-14)112(184)140-75(32-21-25-43-133)110(182)156-90(60-204)123(195)142-74(31-20-24-42-132)109(181)144-78(35-37-96(136)165)111(183)150-85(53-99(169)170)119(191)154-88(58-164)122(194)152-87(55-101(173)174)121(193)157-91(61-205)124(196)149-82(50-67(6)7)116(188)147-81(49-66(4)5)117(189)151-86(54-100(171)172)120(192)158-93(63-207)126(198)161-103(69(10)11)128(200)159-92(62-206)125(197)148-80(48-65(2)3)114(186)141-73(30-19-23-41-131)108(180)143-77(36-38-98(167)168)106(178)137-56-97(166)139-84(52-71-28-17-16-18-29-71)118(190)155-89(59-203)107(179)138-57-102(175)176/h16-18,28-29,65-70,72-95,103-104,164,203-208H,15,19-27,30-64,131-135H2,1-14H3,(H2,136,165)(H,137,178)(H,138,179)(H,139,166)(H,140,184)(H,141,186)(H,142,195)(H,143,180)(H,144,181)(H,145,187)(H,146,199)(H,147,188)(H,148,197)(H,149,196)(H,150,183)(H,151,189)(H,152,194)(H,153,201)(H,154,191)(H,155,190)(H,156,182)(H,157,193)(H,158,192)(H,159,200)(H,160,177)(H,161,198)(H,162,185)(H,167,168)(H,169,170)(H,171,172)(H,173,174)(H,175,176)/t70-,72-,73-,74-,75-,76-,77-,78-,79-,80-,81-,82-,83-,84-,85-,86-,87-,88-,89-,90-,91-,92-,93-,94-,95-,103-,104-/m0/s1
SMILES CC[C@H](C)[C@H](NC(=O)[C@H](CCCCN)NC(=O)[C@@H]1CCCN1C(=O)[C@H](CS)NC(=O)[C@@H](N)CCSC)C(=O)N[C@@H](CC(C)C)C(=O)N[C@@H](CCSC)C(=O)N[C@@H](CCCCN)C(=O)N[C@@H](CS)C(=O)N[C@@H](CCCCN)C(=O)N[C@@H](CCC(N)=O)C(=O)N[C@@H](CC(=O)O)C(=O)N[C@@H](CO)C(=O)N[C@@H](CC(=O)O)C(=O)N[C@@H](CS)C(=O)N[C@@H](CC(C)C)C(=O)N[C@@H](CC(C)C)C(=O)N[C@@H](CC(=O)O)C(=O)N[C@@H](CS)C(=O)N[C@H](C(=O)N[C@@H](CS)C(=O)N[C@@H](CC(C)C)C(=O)N[C@@H](CCCCN)C(=O)N[C@@H](CCC(=O)O)C(=O)NCC(=O)N[C@@H](Cc1ccccc1)C(=O)N[C@@H](CS)C(=O)NCC(=O)O)C(C)C
Start Substs in Alk. Biosynthesis (Prediction)
Organism
Kingdom Family Species Reference
PlantaeCucurbitaceaeCucumis melo var. conomon Makino Ref.
zoom in