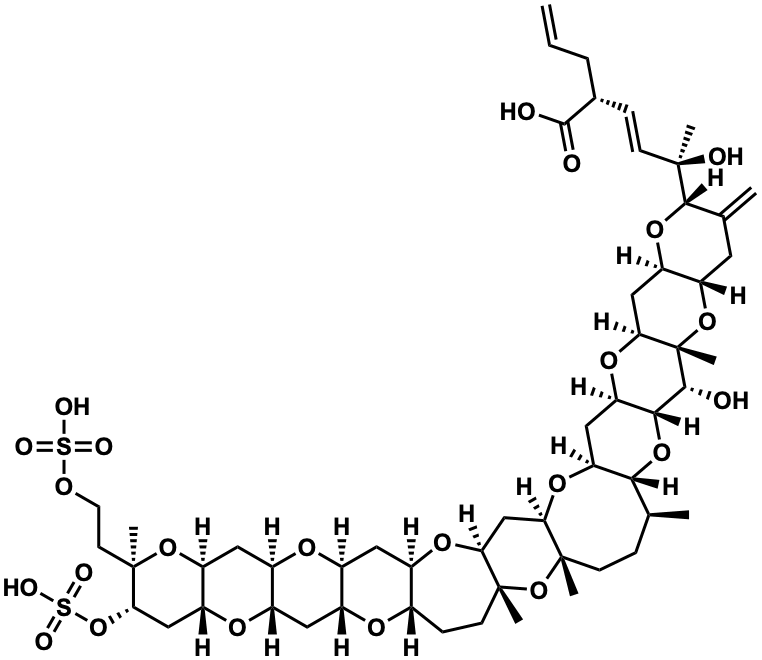
input word = C00054993

Metabolite InformationStructural formula
Name Carboxyyessotoxin
Formula C55H82O23S2
Mw 1174.46883039
CAS RN 262842-91-1
C_ID C00054993
InChIKey BQABHFBKXNDLTF-CDKUGOBNSA-N
InChICode InChI=1S/C55H82O23S2/c1-9-10-29(50(57)58)12-14-51(4,59)49-28(3)19-38-37(73-49)25-45-55(8,76-38)48(56)47-41(72-45)23-40-46(74-47)27(2)11-15-53(6)43(71-40)26-42-54(7,78-53)16-13-30-31(70-42)20-33-32(67-30)21-34-35(68-33)22-39-36(69-34)24-44(77-80(63,64)65)52(5,75-39)17-18-66-79(60,61)62/h9,12,14,27,29-49,56,59H,1,3,10-11,13,15-26H2,2,4-8H3,(H,57,58)(H,60,61,62)(H,63,64,65)/b14-12+/t27-,29+,30-,31+,32+,33-,34-,35+,36+,37+,38-,39-,40-,41+,42-,43+,44-,45-,46+,47+,48+,49-,51+,52+,53-,54+,55-/m0/s1
SMILES C=CC[C@H](/C=C/[C@@](C)(O)[C@H]1O[C@@H]2C[C@@H]3O[C@@H]4C[C@@H]5O[C@@H]6C[C@@H]7O[C@@H]8C[C@@H]9O[C@@H]%10C[C@@H]%11O[C@](C)(CCOS(=O)(=O)O)[C@@H](OS(=O)(=O)O)C[C@H]%11O[C@H]%10C[C@H]9O[C@H]8CC[C@@]7(C)O[C@@]6(C)CC[C@H](C)[C@H]5O[C@H]4[C@@H](O)[C@@]3(C)O[C@H]2CC1=C)C(=O)O
Start Substs in Alk. Biosynthesis (Prediction)
Organism
Kingdom Family Species Reference
--Mytilus galloprovincialis Ref.
zoom in