input word = C00054925

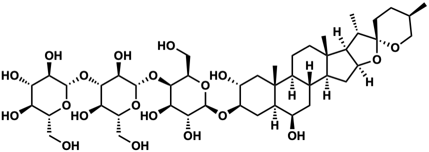
Metabolite InformationStructural formula
Name Ampeloside Bs1
Formula C45H74O20
Mw 934.47734481
CAS RN 118524-12-2
C_ID C00054925
InChIKey OBNCZXYHSIJOME-POWBFILWSA-N
InChICode InChI=1S/C45H74O20/c1-17-5-8-45(58-16-17)18(2)30-26(65-45)10-21-19-9-23(49)22-11-25(24(50)12-44(22,4)20(19)6-7-43(21,30)3)59-40-36(56)34(54)38(29(15-48)62-40)63-42-37(57)39(32(52)28(14-47)61-42)64-41-35(55)33(53)31(51)27(13-46)60-41/h17-42,46-57H,5-16H2,1-4H3/t17-,18+,19-,20+,21+,22-,23-,24-,25-,26+,27-,28-,29-,30+,31-,32-,33+,34-,35-,36-,37-,38+,39+,40-,41+,42+,43+,44-,45-/m1/s1
SMILES C[C@@H]1CC[C@@]2(OC1)O[C@H]1C[C@H]3[C@@H]4C[C@@H](O)[C@H]5C[C@@H](O[C@@H]6O[C@H](CO)[C@H](O[C@@H]7O[C@H](CO)[C@@H](O)[C@H](O[C@@H]8O[C@H](CO)[C@@H](O)[C@H](O)[C@H]8O)[C@H]7O)[C@H](O)[C@H]6O)[C@H](O)C[C@]5(C)[C@H]4CC[C@]3(C)[C@H]1[C@@H]2C
Start Substs in Alk. Biosynthesis (Prediction)
Organism
Kingdom Family Species Reference
PlantaeAlliaceaeAllium ampeloprasum Ref.
zoom in