input word = C00054907

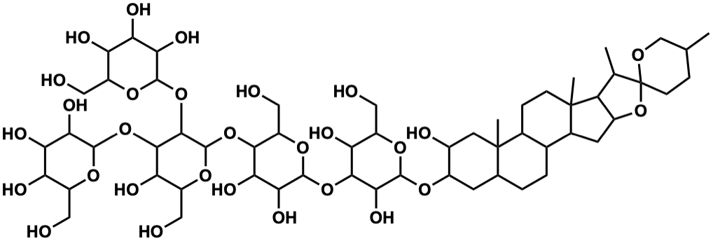
Metabolite InformationStructural formula
Name Capsicosin
Formula C57H94O29
Mw 1242.58807705
CAS RN 54963-35-8
C_ID C00054907
InChIKey RZWGPDBWOSUYCQ-UHFFFAOYSA-N
InChICode InChI=1S/C57H94O29/c1-20-7-10-57(75-19-20)21(2)34-28(86-57)12-25-23-6-5-22-11-27(26(63)13-56(22,4)24(23)8-9-55(25,34)3)76-53-45(74)47(37(66)31(16-60)79-53)83-52-44(73)41(70)46(33(18-62)81-52)82-54-49(85-51-43(72)40(69)36(65)30(15-59)78-51)48(38(67)32(17-61)80-54)84-50-42(71)39(68)35(64)29(14-58)77-50/h20-54,58-74H,5-19H2,1-4H3
SMILES CC1CCC2(OC1)OC1CC3C4CCC5CC(OC6OC(CO)C(O)C(OC7OC(CO)C(OC8OC(CO)C(O)C(OC9OC(CO)C(O)C(O)C9O)C8OC8OC(CO)C(O)C(O)C8O)C(O)C7O)C6O)C(O)CC5(C)C4CCC3(C)C1C2C
Start Substs in Alk. Biosynthesis (Prediction)
Organism
Kingdom Family Species Reference
PlantaeSolanaceaeCapsicum annuum Ref.
zoom in