input word = C00054860

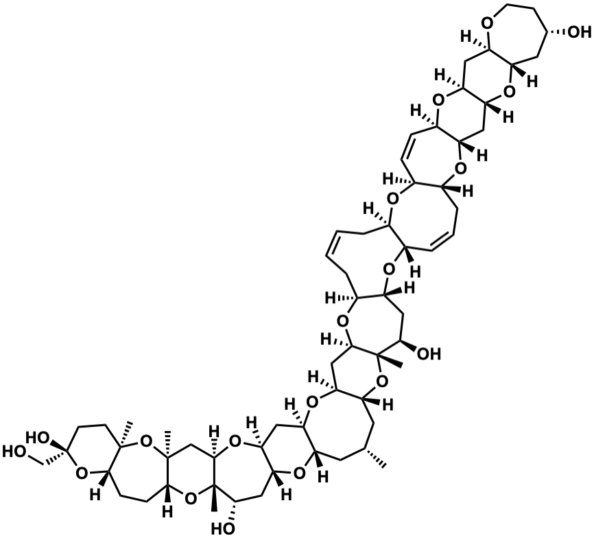
Metabolite InformationStructural formula
Name C-CTX 1
Formula C62H92O19
Mw 1140.62328076
CAS RN 193363-37-0
C_ID C00054860
InChIKey WFCQOYJANLJDGJ-AWRGGPNBSA-N
InChICode InChI=1S/C62H92O19/c1-32-21-41-45(26-47-49(73-41)28-53(66)61(5)57(77-47)30-59(3)55(79-61)16-15-54-58(2,81-59)18-19-62(67,31-63)80-54)75-50-29-56-60(4,78-51(50)22-32)52(65)27-48-37(76-56)10-7-6-9-34-35(71-48)11-8-12-36-38(69-34)13-14-39-43(70-36)25-46-44(72-39)24-40-42(74-46)23-33(64)17-20-68-40/h6-8,11,13-14,32-57,63-67H,9-10,12,15-31H2,1-5H3/b7-6-,11-8-/t32-,33+,34-,35+,36-,37+,38+,39-,40-,41+,42+,43+,44+,45-,46-,47+,48-,49-,50+,51-,52-,53+,54+,55-,56-,57-,58-,59+,60+,61+,62+/m1/s1
SMILES C[C@@H]1C[C@@H]2O[C@@H]3C[C@H](O)[C@]4(C)O[C@@H]5CC[C@@H]6O[C@](O)(CO)CC[C@@]6(C)O[C@@]5(C)C[C@H]4O[C@H]3C[C@H]2O[C@H]2C[C@H]3O[C@H]4C/C=CC[C@H]5O[C@H]6C=C[C@H]7O[C@H]8C[C@H]9OCC[C@H](O)C[C@@H]9O[C@@H]8C[C@@H]7O[C@@H]6C/C=C[C@@H]5O[C@@H]4C[C@@H](O)[C@]3(C)O[C@@H]2C1
Start Substs in Alk. Biosynthesis (Prediction)
Organism
Kingdom Family Species Reference
--Caranx latus Ref.
zoom in