input word = C00054845

Metabolite InformationStructural formula
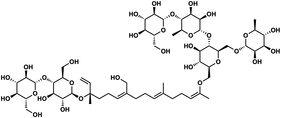
Name Capsianoside XVIII
Formula C56H94O31
Mw 1262.57790629
CAS RN 1190371-31-3
C_ID C00054845
InChIKey CSRJQBLJLKTXGK-HYYQJQGSSA-N
InChICode InChI=1S/C56H94O31/c1-7-56(6,87-55-47(75)42(70)49(30(20-60)83-55)85-54-45(73)39(67)35(63)29(19-59)82-54)16-10-15-27(17-57)14-9-12-23(2)11-8-13-24(3)76-21-31-36(64)40(68)50(32(80-31)22-77-51-43(71)37(65)33(61)25(4)78-51)86-52-46(74)41(69)48(26(5)79-52)84-53-44(72)38(66)34(62)28(18-58)81-53/h7,12-13,15,25-26,28-55,57-75H,1,8-11,14,16-22H2,2-6H3/b23-12+,24-13-,27-15-/t25-,26-,28+,29+,30+,31-,32+,33-,34+,35+,36-,37+,38-,39-,40+,41-,42+,43+,44+,45+,46+,47+,48-,49+,50+,51+,52-,53-,54-,55-,56+/m0/s1
SMILES C=C[C@](C)(CC/C=C(CO)CC/C=C(C)CC/C=C(/C)OC[C@@H]1O[C@H](CO[C@@H]2O[C@@H](C)[C@H](O)[C@@H](O)[C@H]2O)[C@@H](O[C@@H]2O[C@@H](C)[C@H](O[C@@H]3O[C@H](CO)[C@@H](O)[C@H](O)[C@H]3O)[C@@H](O)[C@H]2O)[C@H](O)[C@H]1O)O[C@@H]1O[C@H](CO)[C@@H](O[C@@H]2O[C@H](CO)[C@@H](O)[C@H](O)[C@H]2O)[C@H](O)[C@H]1O
Start Substs in Alk. Biosynthesis (Prediction)
Organism
Kingdom Family Species Reference
PlantaeSolanaceaeCapsicum chinense Ref.
zoom in