input word = C00054844

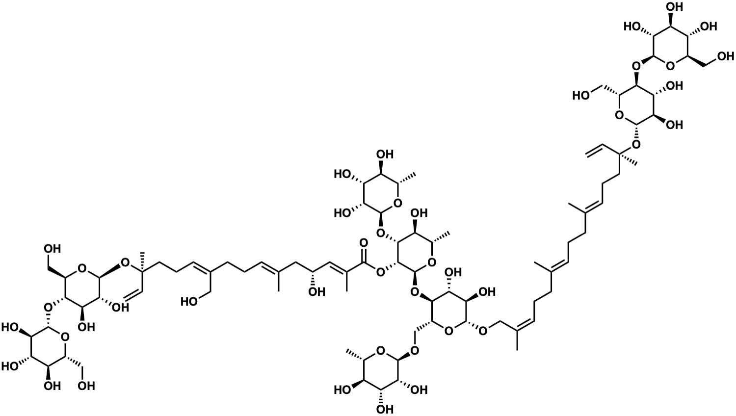
Metabolite InformationStructural formula
Name Capsianoside J
Formula C88H144O43
Mw 1888.90813335
CAS RN 1190371-33-5
C_ID C00054844
InChIKey VNTBLKBBLRFBOP-BHYWZADGSA-N
InChICode InChI=1S/C88H144O43/c1-13-87(11,130-84-71(112)64(105)73(51(35-92)122-84)126-82-68(109)61(102)57(98)49(33-90)120-82)28-18-25-40(4)21-15-20-39(3)22-16-24-42(6)37-115-80-70(111)63(104)75(53(124-80)38-116-79-66(107)59(100)54(95)44(8)117-79)128-86-77(76(56(97)46(10)119-86)129-81-67(108)60(101)55(96)45(9)118-81)125-78(114)43(7)31-48(94)30-41(5)23-17-26-47(32-89)27-19-29-88(12,14-2)131-85-72(113)65(106)74(52(36-93)123-85)127-83-69(110)62(103)58(99)50(34-91)121-83/h13-14,20,23-25,27,31,44-46,48-77,79-86,89-113H,1-2,15-19,21-22,26,28-30,32-38H2,3-12H3/b39-20+,40-25+,41-23+,42-24-,43-31+,47-27-/t44-,45-,46-,48+,49+,50+,51+,52+,53+,54-,55-,56-,57+,58+,59+,60+,61-,62-,63+,64+,65+,66+,67+,68+,69+,70+,71+,72+,73+,74+,75+,76+,77+,79+,80+,81-,82-,83-,84-,85-,86-,87+,88+/m0/s1
SMILES C=C[C@](C)(CC/C=C(CO)CC/C=C(C)C[C@@H](O)/C=C(C)C(=O)O[C@H]1[C@H](O[C@H]2[C@H](O)[C@@H](O)[C@H](OC/C(C)=CCC/C(C)=C/CC/C(C)=C/CC[C@@](C)(C=C)O[C@@H]3O[C@H](CO)[C@@H](O[C@@H]4O[C@H](CO)[C@@H](O)[C@H](O)[C@H]4O)[C@H](O)[C@H]3O)O[C@@H]2CO[C@@H]2O[C@@H](C)[C@H](O)[C@@H](O)[C@H]2O)O[C@@H](C)[C@H](O)[C@H]1O[C@@H]1O[C@@H](C)[C@H](O)[C@@H](O)[C@H]1O)O[C@@H]1O[C@H](CO)[C@@H](O[C@@H]2O[C@H](CO)[C@@H](O)[C@H](O)[C@H]2O)[C@H](O)[C@H]1O
Start Substs in Alk. Biosynthesis (Prediction)
Organism
Kingdom Family Species Reference
PlantaeSolanaceaeCapsicum chinense Ref.
zoom in