input word = C00054843

Metabolite InformationStructural formula
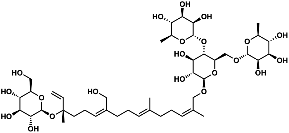
Name Capsianoside XVII
Formula C44H74O21
Mw 938.47225943
CAS RN 1033772-77-8
C_ID C00054843
InChIKey OEXNWSIXBSIJSR-XOZHZZGWSA-N
InChICode InChI=1S/C44H74O21/c1-7-44(6,65-43-37(56)33(52)30(49)26(18-46)62-43)16-10-15-25(17-45)14-9-12-21(2)11-8-13-22(3)19-58-41-38(57)34(53)39(64-42-36(55)32(51)29(48)24(5)61-42)27(63-41)20-59-40-35(54)31(50)28(47)23(4)60-40/h7,12-13,15,23-24,26-43,45-57H,1,8-11,14,16-20H2,2-6H3/b21-12+,22-13-,25-15-/t23-,24-,26+,27+,28-,29-,30+,31+,32+,33-,34+,35+,36+,37+,38+,39+,40+,41+,42-,43-,44+/m0/s1
SMILES C=C[C@](C)(CC/C=C(CO)CC/C=C(C)CC/C=C(/C)CO[C@@H]1O[C@H](CO[C@@H]2O[C@@H](C)[C@H](O)[C@@H](O)[C@H]2O)[C@@H](O[C@@H]2O[C@@H](C)[C@H](O)[C@@H](O)[C@H]2O)[C@H](O)[C@H]1O)O[C@@H]1O[C@H](CO)[C@@H](O)[C@H](O)[C@H]1O
Start Substs in Alk. Biosynthesis (Prediction)
Organism
Kingdom Family Species Reference
PlantaeSolanaceaeCapsicum annuum var. grossum Ref.
zoom in