input word = C00054841

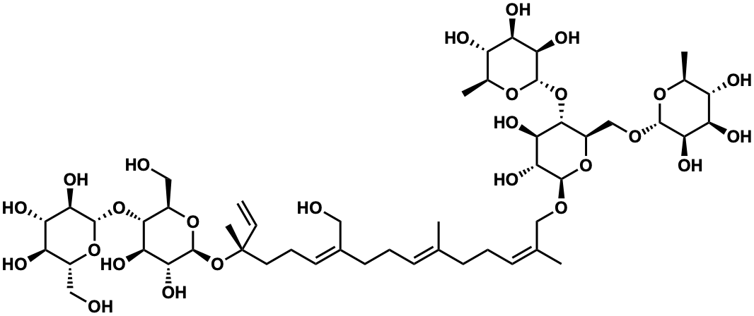
Metabolite InformationStructural formula
Name Capsianoside XV
Formula C50H84O26
Mw 1100.52508286
CAS RN 919120-85-7
C_ID C00054841
InChIKey QFKLPFQSZQZZFP-MSMXOFMASA-N
InChICode InChI=1S/C50H84O26/c1-7-50(6,76-49-42(66)37(61)43(28(19-53)72-49)74-48-40(64)35(59)32(56)27(18-52)71-48)16-10-15-26(17-51)14-9-12-22(2)11-8-13-23(3)20-67-46-41(65)36(60)44(75-47-39(63)34(58)31(55)25(5)70-47)29(73-46)21-68-45-38(62)33(57)30(54)24(4)69-45/h7,12-13,15,24-25,27-49,51-66H,1,8-11,14,16-21H2,2-6H3/b22-12+,23-13-,26-15-/t24-,25-,27+,28+,29+,30-,31-,32+,33+,34+,35-,36+,37+,38+,39+,40+,41+,42+,43+,44+,45+,46+,47-,48-,49-,50+/m0/s1
SMILES C=C[C@](C)(CC/C=C(CO)CC/C=C(C)CC/C=C(/C)CO[C@@H]1O[C@H](CO[C@@H]2O[C@@H](C)[C@H](O)[C@@H](O)[C@H]2O)[C@@H](O[C@@H]2O[C@@H](C)[C@H](O)[C@@H](O)[C@H]2O)[C@H](O)[C@H]1O)O[C@@H]1O[C@H](CO)[C@@H](O[C@@H]2O[C@H](CO)[C@@H](O)[C@H](O)[C@H]2O)[C@H](O)[C@H]1O
Start Substs in Alk. Biosynthesis (Prediction)
Organism
Kingdom Family Species Reference
PlantaeSolanaceaeCapsicum annuum Ref.
zoom in