input word = C00054782

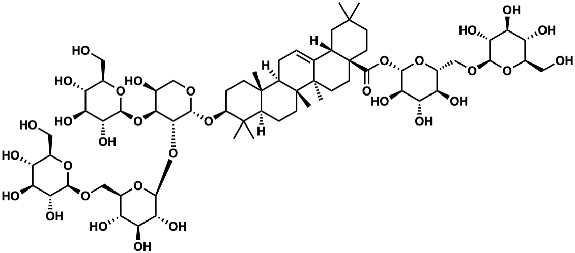
Metabolite InformationStructural formula
Name Congmunoside XII
Formula C65H106O32
Mw 1398.66672129
CAS RN 329969-11-1
C_ID C00054782
InChIKey XYUAQIXBEQTBRE-GVNWFZQNSA-N
InChICode InChI=1S/C65H106O32/c1-60(2)14-16-65(59(85)97-57-50(84)45(79)40(74)32(93-57)24-88-54-47(81)42(76)37(71)29(20-67)90-54)17-15-63(6)25(26(65)18-60)8-9-34-62(5)12-11-35(61(3,4)33(62)10-13-64(34,63)7)94-58-52(51(27(69)22-86-58)95-55-48(82)43(77)38(72)30(21-68)91-55)96-56-49(83)44(78)39(73)31(92-56)23-87-53-46(80)41(75)36(70)28(19-66)89-53/h8,26-58,66-84H,9-24H2,1-7H3/t26-,27-,28+,29+,30+,31+,32+,33-,34+,35-,36+,37+,38+,39+,40+,41-,42-,43-,44-,45-,46+,47+,48+,49+,50+,51-,52+,53+,54+,55-,56-,57-,58+,62-,63+,64+,65-/m0/s1
SMILES CC1(C)CC[C@]2(C(=O)O[C@@H]3O[C@H](CO[C@@H]4O[C@H](CO)[C@@H](O)[C@H](O)[C@H]4O)[C@@H](O)[C@H](O)[C@H]3O)CC[C@]3(C)C(=CC[C@@H]4[C@@]5(C)CC[C@H](O[C@H]6OC[C@H](O)[C@H](O[C@@H]7O[C@H](CO)[C@@H](O)[C@H](O)[C@H]7O)[C@H]6O[C@@H]6O[C@H](CO[C@@H]7O[C@H](CO)[C@@H](O)[C@H](O)[C@H]7O)[C@@H](O)[C@H](O)[C@H]6O)C(C)(C)[C@@H]5CC[C@]43C)[C@@H]2C1
Start Substs in Alk. Biosynthesis (Prediction)
Organism
Kingdom Family Species Reference
PlantaeAraliaceaeAralia elata Ref.
zoom in