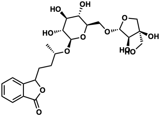
| Name |
Celephthalide B |
| Formula |
C23H32O12 |
| Mw |
500.18937649 |
| CAS RN |
638207-89-3 |
| C_ID |
C00054759
|
| InChIKey |
AQFHCINVOSWVHN-MXPDVPMWSA-N |
| InChICode |
InChI=1S/C23H32O12/c1-11(6-7-14-12-4-2-3-5-13(12)20(29)34-14)33-21-18(27)17(26)16(25)15(35-21)8-31-22-19(28)23(30,9-24)10-32-22/h2-5,11,14-19,21-22,24-28,30H,6-10H2,1H3/t11-,14?,15+,16+,17-,18+,19-,21+,22+,23+/m0/s1 |
| SMILES |
C[C@@H](CCC1OC(=O)c2ccccc21)O[C@@H]1O[C@H](CO[C@@H]2OC[C@](O)(CO)[C@H]2O)[C@@H](O)[C@H](O)[C@H]1O |
| Start Substs in Alk. Biosynthesis (Prediction) |
|
| Organism |
| Kingdom |
Family |
Species |
Reference |
| Plantae | Apiaceae | Apium graveolens  | Ref. |
|
|
zoom in
|