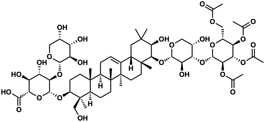
input word = C00054751

Metabolite InformationStructural formula
Name Acetylsoyasaponin A3
Formula C60H92O27
Mw 1244.58259774
CAS RN 117210-16-9
C_ID C00054751
InChIKey UDWZSXHXZXHZJR-MJJRQYFXSA-N
InChICode InChI=1S/C60H92O27/c1-25(62)76-23-33-43(79-26(2)63)46(80-27(3)64)47(81-28(4)65)54(82-33)84-42-32(67)22-78-52(41(42)72)87-49-48(73)55(5,6)20-30-29-12-13-35-57(8)16-15-36(58(9,24-61)34(57)14-17-60(35,11)59(29,10)19-18-56(30,49)7)83-53-45(39(70)38(69)44(85-53)50(74)75)86-51-40(71)37(68)31(66)21-77-51/h12,30-49,51-54,61,66-73H,13-24H2,1-11H3,(H,74,75)/t30-,31-,32-,33+,34+,35+,36-,37-,38-,39-,40+,41+,42-,43+,44-,45+,46-,47+,48-,49+,51-,52-,53+,54-,56+,57-,58+,59+,60+/m0/s1
SMILES CC(=O)OC[C@H]1O[C@@H](O[C@@H]2[C@@H](O)[C@H](O[C@@H]3[C@H](O)C(C)(C)C[C@H]4C5=CC[C@@H]6[C@@]7(C)CC[C@H](O[C@@H]8O[C@H](C(=O)O)[C@@H](O)[C@H](O)[C@H]8O[C@@H]8OC[C@H](O)[C@H](O)[C@H]8O)[C@](C)(CO)[C@@H]7CC[C@@]6(C)[C@]5(C)CC[C@@]34C)OC[C@@H]2O)[C@H](OC(C)=O)[C@@H](OC(C)=O)[C@@H]1OC(C)=O
Start Substs in Alk. Biosynthesis (Prediction)
Organism
Kingdom Family Species Reference
PlantaeFabaceaeGlycine max Ref.
zoom in