input word = C00054750

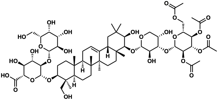
Metabolite InformationStructural formula
Name Acetylsoyasaponin A2
Formula C61H94O28
Mw 1274.59316242
CAS RN 117230-32-7
C_ID C00054750
InChIKey DOSMRIGRPILHCA-DENCXTLESA-N
InChICode InChI=1S/C61H94O28/c1-25(64)78-23-33-44(80-26(2)65)47(81-27(3)66)48(82-28(4)67)55(84-33)86-43-31(68)22-79-52(42(43)74)89-50-49(75)56(5,6)20-30-29-12-13-35-58(8)16-15-36(59(9,24-63)34(58)14-17-61(35,11)60(29,10)19-18-57(30,50)7)85-54-46(40(72)39(71)45(87-54)51(76)77)88-53-41(73)38(70)37(69)32(21-62)83-53/h12,30-50,52-55,62-63,68-75H,13-24H2,1-11H3,(H,76,77)/t30-,31-,32+,33+,34+,35+,36-,37-,38-,39-,40-,41+,42+,43-,44+,45-,46+,47-,48+,49-,50+,52-,53-,54+,55-,57+,58-,59+,60+,61+/m0/s1
SMILES CC(=O)OC[C@H]1O[C@@H](O[C@@H]2[C@@H](O)[C@H](O[C@@H]3[C@H](O)C(C)(C)C[C@H]4C5=CC[C@@H]6[C@@]7(C)CC[C@H](O[C@@H]8O[C@H](C(=O)O)[C@@H](O)[C@H](O)[C@H]8O[C@@H]8O[C@H](CO)[C@H](O)[C@H](O)[C@H]8O)[C@](C)(CO)[C@@H]7CC[C@@]6(C)[C@]5(C)CC[C@@]34C)OC[C@@H]2O)[C@H](OC(C)=O)[C@@H](OC(C)=O)[C@@H]1OC(C)=O
Start Substs in Alk. Biosynthesis (Prediction)
Organism
Kingdom Family Species Reference
PlantaeFabaceaeGlycine max Ref.
zoom in